Management of fall armyworm, Spodoptera frugiperda (Smith) (Lepidoptera: Noctuidae) in maize (Zea mays L.) in Indonesia and Thailand via mating disruption
Pengendalian ulat grayak, Spodoptera frugiperda (Smith) (Lepidoptera: Noctuidae) pada jagung (Zea mays L.) di Indonesia dan Thailand dengan gangguan kawin
DOI:
https://doi.org/10.5994/jei.21.3.184Keywords:
fall armyworm, Indonesia, mating disruption, pheromones, Spodoptera frugiperda, ThailandAbstract
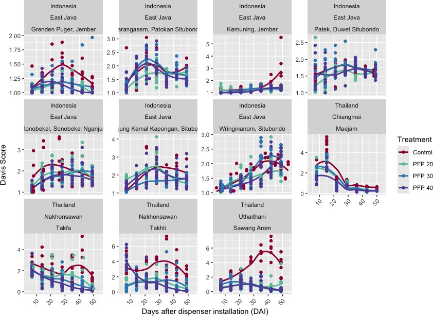
The fall armyworm, Spodoptera frugiperda (Smith), has been problematic in Southeast Asia since its invasion in 2019. Fall armyworm management in these areas largely depends on synthetic insecticide application, and alternative management practices are very few and impractical. The demand for new and more sustainable tools for managing this pest has increased. In this study, we tested the mating disruption (MD) efficacy of fall armyworm sex pheromone in low-density polyethylene dispensers containing 2.5 g of blended active ingredients, (Z)-9-tetradecen-1-yl acetate (Z9-14Ac) and (Z)-11-hexadecen-1-yl acetate (Z11-16Ac) in a ratio of 87:13. The primary objective was to evaluate the optimal density of the dispensers/ha and understand the benefits of MD in reducing the damage caused by fall armyworm and associated insecticide applications as compared to conventional growers’ practices in Indonesia and Thailand. Research was conducted at 16 locations across Indonesia and Thailand in 2020 and 2021 in 9-ha treatment plots and compared to conventional growers practice. Trap reduction, a measure of MD, was significantly higher (74–90%) with 30 dispensers/ha than with non-dispenser areas, suggesting high levels of mating suppression. MD’s primary benefit is damage reduction, where 30 dispensers/ha reduced damage caused by fall armyworm larvae by 34–35% while simultaneously enabling a greater than 50% reduction in insecticide usage compared to the conventional growers’ practice. Our results show the effectiveness and feasibility of MD using pheromones as an essential management tactic for fall armyworm. These results represent a potential step towards more efficacious and sustainable pest management in Southeast Asia.
Downloads
References
Carde RT. 2021. Mating disruption with pheromones for control of moth pests in area-wide management programmes. In: Hendrichs J, Pereira R, Vreysen MJB (Eds.), Area-Wide Integrated Pest Management: Development and Field Application. pp. 779–794. Boca Raton: CRC Press. DOI: https://doi.org/10.1201/9781003169239-45.
Chaireunkaew D, Rakkrai C, Chaovalit S, Rukkasikorn A, Chomdate T, Paechaisri P, Pongmee A. 2022. Survey on the outbreak of fall armyworm, Spodoptera frugiperda (JE Smith, 1797) (Lepidoptera: Noctuidae) and their host plant preference tested in Thailand. Thai Agricultural Research Journal. 40:72–80.
Cork A, De Souza K, Krishnaiah K, Kumar DVSSR, Reddy AA, Casagrande E. 1996. Control of yellow stem borer, Scirpophaga incertulas (Lepidoptera: Pyralidae) by mating disruption on rice in India: effect of unnatural pheromone blends and application time on efficacy. Bulletin of Entomological Research. 86:515–524. DOI: https://doi.org/10.1017/S0007485300039304.
Cork A, De Souza K, Hall DR, Jones OT, Krishnaiah K, Zainullabuddin S. 2008. Development of PVC-resin controlled release formulation for pheromones and use in the control of yellow rice stem borer, Scirpophaga incertulas. Crop Protection. 27:248–255. DOI: https://doi.org/10.1016/j.cropro.2007.05.011.
Davis FM, Ng SS, Williams WP. 1992. Visual rating scales for screening whorl-stage corn for resistance to fall armyworm. Technical Bulletin (Mississippi Agricultural and Forestry Experiment Station). 186:1–9.
De Groote H, Kimenju SC, Munyua B, Palmas S, Kassie M, Bruce A. 2020. Spread and impact of fall armyworm (Spodoptera frugiperda JE Smith) in maize production areas of Kenya. Agriculture, Ecosystems & Environment. 292:106804. DOI: https://doi.org/10.1016/j.agee.2019.106804.
Dharmayanthi AB, Subagyo VNO, Nugraha RTP, Rahmini, Rahmadi C, Darmawan, Sutrisno H. 2022. Genetic characteristics and strain types of the invasive fall armyworm Spodoptera frugiperda (J. E. Smith) (Lepidoptera: Noctuidae) in Indonesia. Biodiversitas. 23:3928–3935. DOI: https://doi.org/10.13057/biodiv/d230809.
Ge S, Sun X, He W, Wyckhuys AG, He L, Zhao S, Zhang H, Wu K. 2021. Potential trade-offs between reproduction and migratory flight in Spodoptera frugiperda. Journal of Insect Physiology. 132:104248. DOI: https://doi.org/10.1016/j.jinsphys.2021.104248.
Gutiérrez-Moreno R, Mota-Sanchez D, Blanco CA, Whalon ME, Terán-Santofi- mio H, Rodriguez-Maciel JC, DiFonzo C. 2019. Field-evolved resistance of the fall armyworm (Lepidoptera: Noctuidae) to synthetic insecticides in Puerto Rico and Mexico. Journal of Economic Entomology. 112:792–802. DOI: https://doi.org/10.1093/jee/toy372.
Harrison FP. 1984. The development of an economic injury level for low populations of fall armyworm (Lepidoptera: Noctuidae) in grain corn. Florida Entomologist. 67:335–339. DOI: https://doi.org/10.2307/3494710.
Herlinda S, Suharjo R, Sinaga ME, Fawwazi F, Suwandi S. 2022. First report of occurrence of corn and rice strains of fall armyworm, Spodoptera frugiperda in South Sumatra, Indonesia and its damage in maize. Journal of the Saudi Society of Agricultural Sciences. 21:412–419. DOI: https://doi.org/10.1016/j.jssas.2021.11.003.
Holkenbrink C, Ding B, Wang H, Dam M, Petkevicius K, Kildegaard KR, Wenning L, Sinkwitz C, Lorantfy B, Koutsoumpeli E, Franca L, Pires M, Bernardi C, Urrutia W, Mafra-Neto A, Ferreira BS, Raptopoulos D, Konstantopoulou M, Christer L, Borodina I. 2020. Production of moth sex pheromones for pest control by yeast fermentation. Metabolic Engineering. 62:312–321. DOI: https://doi.org/10.1016/j.ymben.2020.10.001.
Huesing JE, Prasanna BM, McGrath D, Chinwada P, Jepson P, Capinera JL. 2018. Integrated pest management of fall armyworm in Africa: an introduction. In: Prasanna BM, Huesing JE, Eddy R, Peschke VM (Eds.) Fall armyworm in Africa: a guide for integrated pest management. 1st Ed. pp. 1–10. Mexico: CIMMYT, CDMX.
Hutasoit RT, Kalqutny SH, Widiarta IN. 2020. Spatial distribution pattern, bionomic, and demographic parameters of a new invasive species of armyworm Spodoptera frugiperda (Lepidoptera: Noctuidae) in maize of South Sumatera, Indonesia. Biodiversitas. 21:3576–3582. DOI: https://doi.org/10.13057/biodiv/d210821.
Iqbal M, Marman M, Arintya F, Broms K, Clark T, Srigiriraju L. 2023. Mating disruption technology: An innovative tool for managing yellow stem borer (Scirpophaga incertulas Walker) of rice in Indonesia. Jurnal Entomologi Indonesia. 20:129–140. DOI: https://doi.org/10.5994/jei.20.2.129.
López-Urquídez GA, Serrano M, Clark T, Armenta-Chavez R, Medina-López R, Molina-Cárdenas L, López-Orona CA. 2023. Biodiversity of insects in a maize agroecosystem under commercial production conditions with Spodoptera frugiperda mating disruption pheromones at Sinaloa. South Western Entomologist. 48:805–816. DOI: https://doi.org/10.3958/059.048.0405.
Maharani Y, Puspitaningrum D, Istifadah N, Hidayat S, Ismail A. 2021. Biology and life table of fall armyworm, Spodoptera frugiperda (J.E.Smith) (Lepidoptera: Noctuidae) on maize and rice. Serangga. 26:161–174.
McVeigh EM, McVeigh LJ, Cavanagh GG. 1983. A technique for tethering females of Spodoptera littoralis (Biosduval) (Lepidoptera: Noctuidae) to evaluate pheromone control methods. Bulletin of Entomological Research. 73:441–446. DOI: https://doi.org/10.1017/S0007485300009056.
Miller JR, Gut LJ. 2015. Mating disruption for the 21st century: Matching technology with mechanism. Environmental Entomology. 44:427–453. DOI: https://doi.org/10.1093/ee/nvv052.
Mitchell ER, McLaughlin JR. 1982. Suppression of mating and oviposition by fall armyworm and mating by corn earworm in corn, using the air permeation technique. Journal of Economic Entomology. 75:270–274. DOI: https://doi.org/10.1093/jee/75.2.270.
Muthukumar M, Kennedy JS. 2021. A review of the scientific literature on the use of reproductive pheromones in the management of Spodoptera frugiperda (Lepidopetera: Noctuidae). Journal of Entomological Science. 56:475–486. DOI: https://doi.org/10.18474/JES20-89.
Prasanna BM, Huesing JE, Peschke VM, Eddy R. 2021. Fall Armyworm in Asia: A Guide for Integrated Pest Management. Mexico: CIMMYT.
Rizali A, Oktaviyani PSDPS, Doananda M, Linggani A. 2021. Invasion of fall armyworm Spodoptera frugiperda, a new invasive pest, alters native herbivore attack intensity and natural enemy diversity. Biodiversitas. 22:3482–3488. DOI: https://doi.org/10.13057/biodiv/d220847.
Rizvi SAH, George J, Reddy GVP, Zeng X, Guerrero A. 2021. Latest developments in insect sex pheromone research, and its application in agricultural pest management. Insects. 12:484. DOI: https://doi.org/10.3390/insects12060484.
Russianzi W, Anwar R, Triwidodo H. 2021. Biostatistics of fall armyworm Spodoptera frugiperda in maize plants in Bogor, West Java, Indonesia. Biodiversitas. 22:3463–3469. DOI: https://doi.org/10.13057/biodiv/d220655.
Sarkowi F, Mokhtar A. 2021. The fall armyworm (FAW) – Spodoptera frugiperda: A review on biology, life history, invasion, dispersion and control. Outlooks on Pest Management. 32:27–32.
Sartiami D, Dadang, Harahap IS, Kusumah YM, Anwar R. 2020. First record of fall armyworm (Spodoptera frugiperda) in Indonesia and its occurrence in three provinces. IOP Conference Series: Earth and Environmental Science. 468:012021. DOI: https://doi.org/10.1088/1755-1315/468/1/012021.
Schirmer FG, Favetti BM, Clark T, Galvan T, Cordeiro EMG, Vivan L, Tran K, Broms K, Miranda R. 2023. Supressão de acasalamentos e redução de danos de Spodoptera frugiperda (J. E. Smith, 1797) no algodoeiro. Entomological Communications. 5:ec05026. DOI: https://doi.org/10.37486/2675-1305.ec05026.
Sharanabasappa D, Kalleshwaraswamy CM, Asokan R. 2018. First report of the fall armyworm, Spodoptera frugiperda (JE Smith) (Lepidoptera: Noctuidae), an alien invasive pest on maize in India. Pest Management in Horticultural Ecosystems. 24:23–29.
Sparks AN. 1979. A Review of the Biology of the Fall Armyworm. The Florida Entomologist. 62:82–87. DOI: https://doi.org/10.2307/3494083.
Supartha IW, Susila IW, Sunari AAAS, Mahaputra IG, Yudha IKW, Wiradana PA. 2021. Damage characteristics and distribution patterns of invasive pest, Spodoptera frugiperda (J. E Smith) (Lepidoptera: Noctuidae) on maize crop in Bali, Indonesia. Biodiversitas. 22:3378–3389. DOI: https://doi.org/10.13057/biodiv/d220645.
Tay WK, Meagher RL, Czepak C, Groot AT. 2023. Spodoptera frugiperda: Ecology, evolution, and management options of an invasive species. Annual Review of Entomology. 68:299–317.
The MathWorks Inc. 2021. MATLAB version: 9.10.0 (R2021a), Natick, Massachusetts: The MathWorks Inc. Available at: https://www.mathworks.com.
Trisyono YA, Suputa, Aryuwandari AEF, Hartaman M, Jumari. 2019. Occurrence of heavy infestation by the fall armyworm Spodoptera frugiperda, a new alien invasive Pest, in Corn in Lampung, Indonesia. Jurnal Perlindungan Tanaman Indonesia. 23:1–5. DOI: https://doi.org/10.22146/jpti.46455.
Vilarinho EC, Fernandes OA, Hunt TE, Caizeta DF. 2011. Movement of Spodoptera frugiperda adults (Lepidoptera: Noctuidae) in maize in Brazil. The Florida Entomologist. 94:480–488. DOI: https://doi.org/10.1653/024.094.0312.
Wampler KM, Bui V, Rozzell D, Coelho P, Floruti A, Ondi L, Mehdi H, Eros G. 2021. Synthesis of pheromones and related materials via olefin metathesis. Provivi Inc., US Patent No. 11,155,505 B2, United States of America.
Witzgall P, Kirsch P, Cork A. 2010. Sex pheromones and their impact on pest management. Journal of Chemical Ecology. 36:80–100. DOI: https://doi.org/10.1007/s10886-009-9737-y.
Published
How to Cite
Issue
Section
License
Copyright (c) 2024 Lakhsmipathi Srigiriraju, Kristin Broms, Mongkol Sripeangchan, Kankunlanach Khampuang, Riedha Ekalianna, Yulius Dika Ciptadi, Muhamad Iqbal, Khai Tran, Thomas Clark, Hamim Sudarsono, Peter Meinhold

This work is licensed under a Creative Commons Attribution 4.0 International License.
Authors who publish with this journal agree to the following terms:
- Authors retain copyright and grant the journal right of first publication with the work simultaneously licensed under a Creative Commons Attribution 4.0 International License that allows others to share the work with an acknowledgement of the work's authorship and initial publication in this journal.
- Authors are able to enter into separate, additional contractual arrangements for the non-exclusive distribution of the journal's published version of the work (e.g., post it to an institutional repository or publish it in a book), with an acknowledgement of its initial publication in this journal.
- Authors are permitted and encouraged to post their work online (e.g., in institutional repositories or on their website) prior to and during the submission process, as it can lead to productive exchanges, as well as earlier and greater citation of published work (See The Effect of Open Access).
 
						 
							 
			
		 
			 
			 
				





