Tailoring larval diets and sugar sources to enhance development and adult survivorship of Culex quinquefasciatus (Say) (Diptera: Culicidae)
Penyesuaian pakan larva dan sumber gula untuk meningkatkan perkembangan dan kelangsungan hidup Culex quinquefasciatus (Say) (Diptera: Culicidae) dewasa
Culex quinquefasciatus (Say) (Diptera: Culicidae) is a primary vector of lymphatic filariasis and various encephalitis viruses, posing significant public health threats. Optimizing mass-rearing protocols for this mosquito species, particularly through improved nutritional strategies, is crucial for enhancing vector control effectiveness and efficiency. This study evaluates the effects of larval diet composition and adult sugar diet on the development and survivability of C. quinquefasciatus. Larvae were fed five diets based on combinations of protein-rich dog food (DF) and carbohydrate-rich rice flour (RF): 100% DF, 100% RF, DF:RF (3:1), DF:RF (1:1), and DF:RF (1:3). Adult mosquitoes were provided with 10% sucrose, 10% dextrose, or 10% honey. Observed parameters included larval and pupal morphometry, pupation time and rate, adult wing length, and adult survival over 50 days. The results showed that the DF:RF (1:1) diet yielded optimal larval length, pupation rate, and adult female wing length, whereas the DF:RF (3:1) diet resulted in the shortest pupation time and largest larval width. The combination of the DF:RF (1:1) diet and honey was the most effective in promoting adult development and survival. These findings provide valuable insights for optimizing mass-rearing protocols, which are essential for research and vector control programs.
Downloads
INTRODUCTION
Culex quinquefasciatus (Say) (Diptera: Culicidae) is a nocturnal mosquito commonly found in tropic, subtropical, and temperate regions (Sudomo et al., 2010). This mosquito is often encountered in urban areas, particularly in locations with larval habitat support such as stagnant water and small reservoirs (Omotayo et al., 2022). The presence of C. quinquefasciatus in an area can pose serious health problems to humans as it serves as a major vector for various disease causing pathogens, such as Wuchereria bancrofti causing lymphatic filariasis, as well as West Nile virus (WNV) and Japanese encephalitis virus (JEV) causing neurological infections like encephalitis (S & P, 2016).
Statistically, it is estimated that there are approximately 120 million cases of lymphatic filariasis infection globally, with around 40 million people suffering from severe disability or swelling, commonly known as elephantiasis. Additionally, case of encephalitis caused by WNV and JEV transmitted by C. quinquefasciatus are known to have high fatality rate, ranging from 20–30 %, and approximately 30–50% of survivors experience long term effects such as paralysis, seizures, and behavioral changes (Sudomo et al., 2010); (Cheng et al., 2022); (Garjito et al., 2018).
Given the significant health risks posed by diseases transmitted by C. quinquefasciatus, both fundamental and applied research on vector control and disease prevention in the laboratory has become crucial (Ong & Jaal, 2018); (S & M, 2018). Through mass rearing, researchers can manage large mosquito populations and conduct experiments under controlled conditions, allowing them to obtain valid and representative research results (Bhujel & Saha, 2023); (Petersen et al., 2016).
Food quality during the larval and adult stages in mass rearing greatly affects the growth, development, and survival of mosquitoes. A comprehensive understanding of the nutritional requirements and roles of individual nutrient classes, such as carbohydrates, proteins (including essential amino acids), and vitamins, is critical for optimizing mass rearing protocols for C. quinquefasciatus. Carbohydrates serve as a primary energy source, essential for maintaining the metabolic activities of developing larvae, while proteins and their constituent amino acids support the synthesis of vital enzymes and structural components necessary for growth (Schoor T et al., 2020). Vitamins, on the other hand, function as coenzymes in various metabolic pathways, assisting in the proper functioning of enzymes responsible for energy production and nutrient assimilation (Rivera-Pérez et al., 2017).
Various nutritional regimens have been studied to understand the development of larvae and the survival of adult mosquitoes. A previous study on Aedes aegypti (Linnaeus) reported that the dietary needs for growth, physical size, and nutrient storage in these mosquitoes depend on a relatively low yet essential protein-tocarbohydrate ratio to achieve optimal developmental outcomes (Schoor T et al., 2020). Another study on Anopheles gambiae Giles demonstrated that females fed sucrose lived longer than those fed glucose, fructose, or a combination of both (Kessler et al., 2015). Similarly, studies have shown that using 100% fish food for larvae and honey as a sugar source for adults was more effective for rearing Anopheles darlingi Root under experimental conditions (Zanin et al., 2019).
Other studies on A. gambiae and A. darlingi have shown that nutritional regimens play a crucial role in mosquito survival and development. Females of A. gambiae that were fed sucrose exhibited longer lifespans compared to those fed glucose, fructose, or a combination of both (Kessler et al., 2015). Similarly, rearing A. darlingi larvae on a diet of 100% fish food, along with honey as a sugar source for adults, proved to be more effective under experimental conditions (Zanin et al., 2019).
Despite extensive research on other mosquito species, the optimal dietary regimen for enhancing the rearing productivity of C. quinquefasciatus remains unclear. Therefore, this study has two main objective: first, to assess the effect of larval dietary composition on the development of C. quinquefasciatus, focusing on key physiological parameters such as larval length, width, and pupation rate. Second, to identify the impact of various sugar sources on the survivability of adult mosquitoes, monitoring physiological parameters up to 50 days post-eclosion.
MATERIALS AND METHODS
Mosquito rearing
Egg rafts of C. quinquefasciatus (Diptera: Culicidae) were collected from the courtyard of a laboratory, Bandung, Indonesia (6°51′27″ S, 107°37′30″ E), using ovitraps. Five field ovitraps were deployed, each consisting of a black bucket containing dog food as an attractant and laboratory-reared water. The traps were placed in shaded areas around the laboratory and inspected every 2–3 days. Only egg rafts (not larvae) were collected, thereby minimizing the risk of contamination from other mosquito species.
The eggs used in the trial were the first batch collected from the field and were reared in the laboratory only up to the first generation (F₁) before being used in experiments. Egg rafts were placed in plastic trays (29 cm × 19 cm × 6.7 cm) containing 1 l of deionized water. Rearing conditions were maintained at 27 ± 1.04 °C, 68.4 ± 9.19% relative humidity, and a 14:10 h light:dark photoperiod, simulating natural conditions conducive to larval development.
After 24 hours, 100 first-instar larvae (L₁) were transferred into 750 ml plastic cups containing 500 ml of deionized water, using a plastic pipette for precise handling. Water was replaced every three days. Upon pupation and emergence, adults were transferred to 30 cm × 30 cm × 30 cm cages for maintenance, and species identity was confirmed at the adult stage using morphological characteristics following standard taxonomic keys (Organization, 2020). Only specimens matching the diagnostic features of C. quinquefasciatus were included in the study, ensuring that all individuals belonged to the same species
Larval morphometric, pupation time, pupation rate, and wing length of C. quinquefasciatus reared on different dietary nutritional compositions
To assess the effect of diet on C. quinquefasciatus development, we compared five dietary compositions of dog food (DF) and rice flour (RF). Due to the exploratory nature of this study and the absence of a universally recognized ‘standard diet’ for C. quinquefasciatus rearing, no control diet was used based on pre-established protocols. Instead, the five dietary treatments were considered distinct experimental conditions, enabling a comparative assessment of the developmental outcomes across different protein and carbohydrate sources. The primary goal was to optimize dietary formulations for mosquito development, with future studies potentially using the most effective diets identified here as baseline controls.
Five different larval diets were compared in this study (Table 1). The dog food (Royal Canin Puppy®) served as a protein-rich source, while rice flour (Rose Brand®) was used as a carbohydrate source. Both ingredients were ground into fine powder using a blender. The diets were formulated with different ratios of these two ingredients as follows: 100% RF, 100% DF, 25% DF and 75% RF (DF:RF = 1:3), 50% DF and 50% RF (DF:RF = 1:1), and 75% DF and 25% RF (DF:RF = 3:1). Each diet is represented by five trays with each tray representing a biological replicate consisting of 100 larvae. Each dietary treatment was represented by five trays, with each tray serving as a biological replicate consisting of 100 larvae. The larvae were fed once a day in the morning at a rate of 0.5 mg/larva/day (50 mg/100 larvae). For this experiment, we used F₁ generation larvae. No adaptation or acclimatization process was applied, as the eggs collected from the field were hatched directly in the laboratory. Consequently, the larvae developed entirely under controlled laboratory conditions from the beginning of their life cycle. They were never exposed to natural environmental conditions, and were therefore already accustomed to the laboratory’s temperature, humidity, water quality, and food. Thus, a specific acclimatization procedure, typically necessary when transferring organisms from the field to the lab, was deemed unnecessary.
A total of 30 larvae and 30 pupae were randomly selected from each treatment replication. These were fixed in an 80% ethanol solution to preserve the specimens and halt biological processes that might alter size or shape. The morphometric parameters measured included larval width, total length, and pupal cephalothorax width. Larval length was defined as the distance from the anterior head to the posterior abdomen, and larval width was measured at the widest point of the abdomen (5th segment from the anterior).
| Diet | Dog food | Rice flour |
|---|---|---|
| 100% RF | - | 100% |
| 100% DF | 100% | - |
| DF:RF (1:3) | 25% | 75% |
| DF:RF (1:1) | 50% | 50% |
| DF:RF (3:1) | 75% | 25% |
For wing length measurement, 20 female and 20 male adult mosquitoes from each treatment were collected using a mechanical aspirator and transferred into 15-ml vials. The mosquitoes were anesthetized by placing them in a 4 °C refrigerator freezer to prevent movement during measurement. The right or left wing was detached, mounted on a glass slide, and covered with a cover slip. Wing length measurements were taken using a stereo microscope at 1.25x magnification, and images were captured with a USB digital microscope camera. The images were analyzed with ZenCore image processing software. Pupation duration was calculated from the first day of larval emergence (L1) to the day of pupation. The success of pupation was assessed by counting the number of larvae that successfully developed into pupae.
Survival rate of adult mosquitoes with different sugar sources
Adult C. quinquefasciatus mosquitoes (n = 25 males and 25 females) from each larval diet treatment were placed in 30 cm × 30 cm × 30 cm cages maintained under controlled conditions (25 ± 0.7 °C, 78 ± 11.1% humidity, 14:10 (L:D) photoperiod) throughout the 50-day observation period. They had access to cotton soaked in one of three sugar source solutions, such as 10% sucrose, 10% dextrose, and 10% honey. These solutions were prepared by dissolving 100 g of Gulaku® sugar, 100 g of Lihua Starch® dextrose monohydrate, and 100 ml of Granova® honey in 1000 ml of water. Mortality was recorded daily, and dead mosquitoes were removed promptly for counting and sex identification.
Statistical analysis
All data were tested for normality using the Shapiro- Wilk test. Data were considered normally distributed if P > 0.05. To analyze the significance between groups for larval and pupal morphometric data, wing length, and pupation time, the Kruskal-Wallis test was used due to the data not being normally distributed, followed by Dunn’s test for post hoc analysis. The pupation rate was analyzed using the Chi-square test, with larvae grouped based on successful or unsuccessful pupation. Additionally, differences in adult mosquito survival across various combinations of larval diets and carbohydrates sources were analyzed using KaplanMeier survival curves, with the log-rank test used to identify significant differences between treatment groups.
Statistical analyses were conducted using GraphPad Prism (GraphPad Software, San Diego, CA, USA) for data visualization and survival analyses, and IBM SPSS Statistics (IBM Corp., Armonk, NY, USA) for additional statistical testing. Statistical significance was set at p <0.05.
RESULTS
Larval morphometric, pupation time, pupation rate, and wing length of C. quinquefasciatus reared on different dietary nutritional compositions
The DF:RF (1:1) (6.36 ± 0.44 mm) and DF:RF (3:1) (6.35 ± 0.44 mm) diets resulted in the longest average larval lengths, with no statistically significant variation between these treatments. In terms of larval width, the DF:RF (3:1) diet yielded the largest value (0.90 ± 0.07 mm), comparable to 100% DF (0.89 ± 0.08 mm) and DF:RF (1:1) (0.89 ± 0.09 mm) treatments. Conversely, larvae fed with the DF:RF (1:3) diet exhibited the smallest larval width (0.81 ± 0.09 mm), which was significantly smaller than all the other treatments (p < 0.05) (Table 2).
Pupae reared on the DF:RF (3:1) diet exhibited the largest cephalothorax width (2.02 ± 0.024 mm), which was significantly different from the smallest cephalothorax width observed in the DF:RF (1:3) treatment (1.90 ± 0.03 mm). Notably, pupae fed 100% DF and DF:RF (1:1) diets showed similar cephalothorax widths with no significant differences between these treatments (Table 2).
The effect of larval feeds on the mean time to reach the pupal stage varied from 8.13 to 9.63 days between each group (Table 1; χ2 = 279.86, df = 4, P < 0.001). A significant difference was observed, with larvae fed 100% DF requiring the shortest time to pupate, while those fed DF:RF (1:3) took significantly longer compared to all other groups. Additionally, mosquito larvae reared on DF:RF (1:1) and DF:RF (3:1) did not differ significantly in pupation time; however, larvae in both groups took longer to pupate than those reared on the 100% DF treatment (Table 2).
The highest pupation rate was observed in pupae reared on DF:RF (1:1), reaching 100%, which was significantly higher than the 100% DF treatment (80.4 ± 6.6 %). However, no significant differences were observed between the DF:RF (1:1) treatment and the DF:RF (3:1) or DF:RF (1:3) treatments (Table 2).
| Larva feed | Larvae | Pupae cephalothorax width (mm) | Pupation time (Day) | Pupation rate (%) | |
|---|---|---|---|---|---|
| Length (mm) | Width (mm) | ||||
| 100% Dog food | 6.24 ± 0.60 ab | 0.89 ± 0.08 a | 1.96 ± 0.04 ab | 8.13 ± 0.05 a | 80.4 ± 6.6 bc |
| 100% Rice flour | N/A | N/A | N/A | N/A | N/A |
| DF:RF (3:1) | 6.35 ± 0.44 a | 0.90 ± 0.07 a | 2.02 ± 0.03 a | 8.54 ± 0.05 b | 99.4 ± 0.2 ab |
| DF:RF (1:1) | 6.36 ± 0.44 a | 0.89 ± 0.09 a | 1.95 ± 0.03 ab | 8.75 ± 0.07 b | 100 a |
| DF:RF (1:3) | 6.04 ± 0.47 b | 0.81 ± 0.09 b | 1.90 ± 0.03 b | 9.63 ± 0.07 c | 97.8 ± 1.6 ab |
This study revealed that females reared on DF:RF (1:1) diet exhibited the longest wing length (3.51 ± 0.17 mm), whereas those in the DF:RF (1:3) diet had the shortest (2.84 ± 0.07 mm). Among males, the longest wing length was observed in the 100% DF group (2.77 ± 0.04 mm), whereas the shortest was recorded in the DF:RF (1:3) group, with these differences being statistically significant (Table 3). These findings suggests that a balanced diet composition of DF and RF promotes greater wing development, particularly in females.
Survival rate of adult mosquitoes with different sugar sources
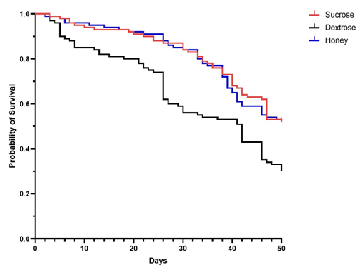
Over the 50-day observation period, the survival rates of male mosquitoes fed with honey and sucrose were the highest, with no significant difference between the two treatments (Chi-Square = 0.02, p = 0.88), while the dextrose group exhibited the lowest survival rates (Sucrose, Chi-Square = 12.791, p < 0.0001; Honey, ChiSquare = 11.62, p < 0.001) (Figure 1).
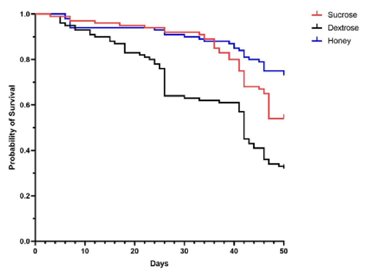
Regarding female mosquitoes, those fed sucrose demonstrated the highest survival rates during the first 30 days, maintaining a cumulative survival rate close to 90%, although gradual declines were observed thereafter. By day 50, the honey-fed group has the highest survival rate among the three treatments. In contrast, the dextrose-fed group exhibited the lowest survival rates, with a marked decline in cumulative survival beginning around day 20 (Figure 2).
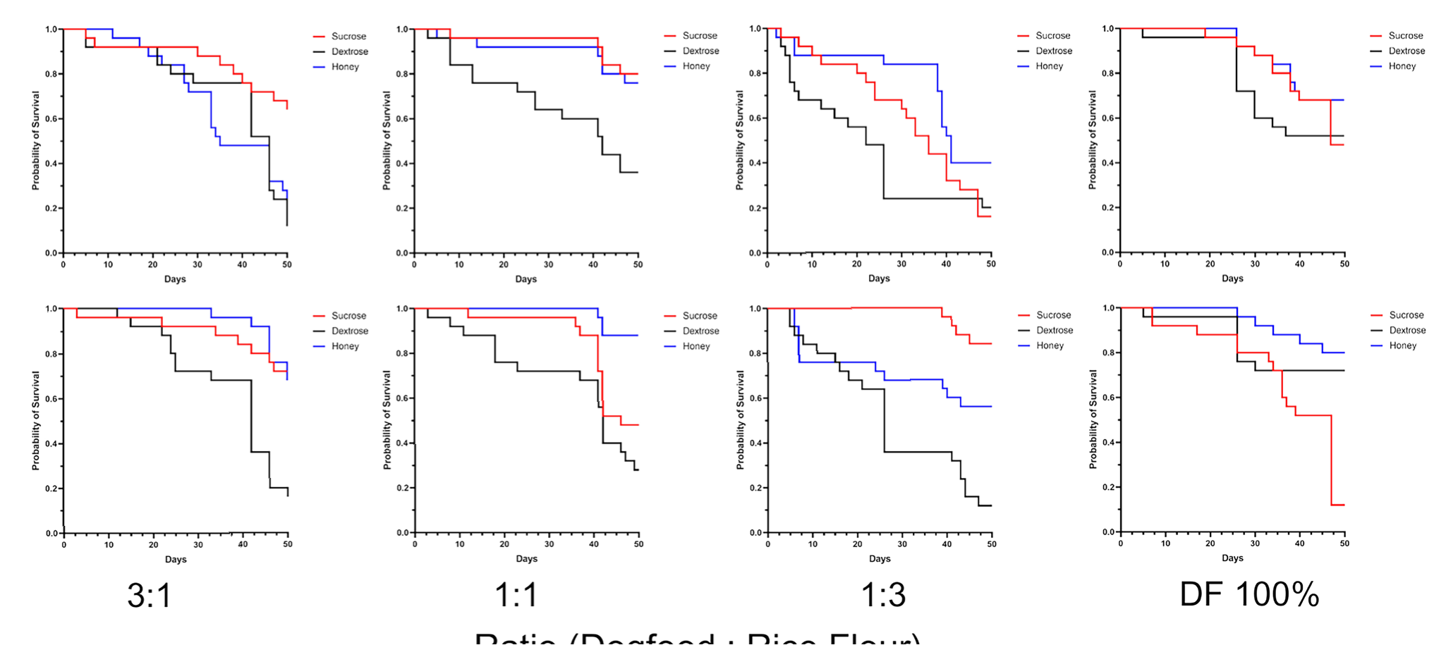
Survival analysis of adult mosquitoes with both different dietary nutritional larval feeds and sugar sources
On day 50, male mosquitoes fed with the sucrose DF:RF (1:1) treatment showed the highest survival rate, with 80% still alive, closely followed by those treated with honey DF:RF (1:1), with no significant difference between the two. Additionally, the survival decline in the sucrose DF:RF (1:1) group was slower compared to the other treatments (Figure 3). In contrast, the lowest survival rate was seen in males fed with a dextrose (3:1) treatment, with only 12% of the mosquitoes surviving (Chi-square = 21.15, P < 0.001).
Among the female C. quinquefasciatus populations tested, those fed with honey DF:RF (1:1) exhibited the highest survival rate, with 88% surviving on day 50, and the survival curve showed a gradual, stable decline, indicating optimal survivability compared to other treatments (Figure 3). The survival curve for this treatment also exhibited a very slow and stable decline, indicating optimal survivability compared to the other treatments. In contrast, the treatments with Sucrose (100% DF) and Dextrose (1:3) showed the lowest survival rates, with only 12% of the mosquitoes remaining alive on day 50. Notably, the dextrose DF:RF (1:3) group experienced a sharp survival decline around day 20, when seven mosquitoes died, leading to just 36% survival.
| Larva feed | Wing length (mm) | |
|---|---|---|
| Male | Female | |
| 100% Dog food | 2.77 ± 0.04 a | 3.35 ± 0.06 a |
| 100% Rice flour | N/A | N/A |
| DF:RF (3:1) | 2.60 ± 0.02 b | 3.30 ± 0.05 ab |
| DF:RF (1:1) | 2.61 ± 0.03 b | 3.51 ± 0.17 a |
| DF:RF (1:3) | 2.47 ± 0.05 b | 2.84 ± 0.07 b |
Figure 1.Kaplan-Meier survival curves and estimates for mosquito survival in three different carbohydrate sources (sucrose, dextrose, and honey) for male mosquitoes.
Figure 2.Kaplan-Meier survival curves and estimates for mosquito survival in each of the three different carbohydrate sources (sucrose, dextrose, and honey) for female mosquitoes.
Figure 3.Kaplan-Meier survival curves and estimates for mosquito survival in various larval dietary compositions (100% DF, 100% RF, DF:RF (1:3), DF:RF (1:1), DF:RF (1:3)), and adult carbohydrate sources (sucrose, dextrose, honey).
DISCUSSIONS
Larval morphometric, pupation time, pupation rate, and wing length of C. quinquefasciatus reared on different dietary nutritional compositions
Overall, the findings of this study indicate that differences in the ratio of protein to carbohydrate-based diets influenced the morphometric characteristics of larvae and pupae, pupation time, pupation rate, and wing length of C. quinquefasciatus. Nutritional requirements for mosquito development can be broadly categorized into macronutrients and micronutrients, with carbohydrates and proteins serving as the primary macronutrients essential for larval growth and development (Souza et al., 2019). Diets with high protein or a balanced protein-to-carbohydrate ratio were associated with optimal growth and development, highlighting the pivotal role of proteins in enzyme regulation, hormone production, and the formation of structural components vital for mosquito development (Schoor T et al., 2020); (Linenberg et al., 2016); (Pooraiiouby et al., 2018).
The results of this study further highlight the ability of C. quinquefasciatus larvae to adapt their metabolic processes under dietary imbalances. High-protein diets allowed larvae to sustain optimal morphometric size despite carbohydrate limitations, suggesting the activation of alternative metabolic pathways such as gluconeogenesis. This process enables the conversion of amino acids derived from dietary proteins into glucose, which can subsequently be utilized for trehalose synthesis and energy production. Such metabolic flexibility plays a critical role in supporting larval growth and development even when carbohydrate availability is low (Miyamoto & Amrein, 2017). For instance, studies have shown that fruit flies and adult mosquitoes express genes associated with the gluconeogenesis pathway (Miyamoto & Amrein, 2017). Similarly, larvae of Manduca sexta (Linnaeus) have demonstrated the ability to activate gluconeogenesis to fulfill their energy. However, it is important to note that although gluconeogenesis has been observed in other insect species, its spesific role in C. quinquefasciatus larvae remains speculative and warrants additional research (N, 1995); (Thompson et al., 2002).
The absence of sufficient protein intake in mosquito larvae adversely affects several critical aspects of their life cycle. For instance, the results from this study indicate that larvae fed on a carbohydraterich diet exhibited the smallest larval and pupal morphometrics, highlighting the detrimental effects of protein deficiency. Such size reductions, resulting from inadequate protein consumption, can extend beyond larval and pupal stages, potentially influencing adult mosquito fitness. Previous finding demonstrated that smaller A. aegypti individuals have diminished feeding and lower metabolic reserves, factors that may ultimately compromise their survival and reproductive success. Therefore, the nutritional composition during the larval stages plays a crucial role in shaping the overall fitness of adult C. quinquefasciatus, reinforcing the importance of balanced diet intake (Souza et al., 2019); (Paige et al., 2019); (Carvajal-Lago et al., 2021). Furthermore, C. quinquefasciatus larvae fed on a 100% RF diet showed a very high mortality during the first and second instar stages. This outcome is attributed to the fact that diets with excessively high carbohydrate content are unable to provide the essential amino acids required for protein synthesis and the development of critical body structures, which are necessary for larval survival (Schoor T et al., 2020).
Although high-protein diets yield favorable results in terms of growth and development parameters, larvae fed 100% DF diets exhibited the lowest pupation rate compared to other treatments. This is likely due to a protein-rich diet with low carbohydrates can lead to nutritional imbalances (Souza et al., 2019); (Hellhammer et al., 2023). This phenomenon is closely tied to the concept of critical mass, which refers to the minimum size or weight larvae must achieve to progress to the next life stage. Reaching this threshold is crucial for triggering hormonal changes necessary for metamorphosis. Once larvae attain the critical mass, their bodies begin to increase the production of ecdysteroid hormones, a group of steroid hormones that play a key role in insect development and enables larvae to undergo the transformation into pupae.
Larvae fed diets with an imbalanced protein-tocarbohydrate ratio, such as those high in protein but low in carbohydrates, may fail to reach the required critical mass required for optimal ecdysteroid release. This disruption can lead to delayed or failed pupation, as seen in our study with C. quinquefasciatus. In essence, without reaching the critical mass needed to trigger this hormonal surge, larvae are unable to complete the molting cycle necessary for pupation (Souza et al., 2019); (Hellhammer et al., 2023). Moreover, in these nutrientrestricted conditions, larvae may trade off their use of protein for physical growth, such as developing larger body structures, at the expense of successful survival to the pupal stage (Souza et al., 2019); (Yan et al., 2021); (Yan et al., 2023).
The smallest wing lengths observed in both male and female mosquitoes reared on the DF:RF (1:3) treatment are consistent with findings by Van Schoor et al. (2020), who reported that protein-deficient diets result in shorter wing lengths in both sexes. These results underscore the essential role of protein in supporting optimal wing size development (Handel E & JF, 1989). Furthermore, our study revealed that male mosquitoes are more efficient in utilizing protein for wing growth, whereas female mosquitoes appear to require a more balanced protein-to-carbohydrate ratio for optimal development, including the development of reproductive organs and wings. This suggests a potential sex specific difference in nutrient utilization.
Larger wing length is often associated with greater body size, which in turn contributes to stronger immune systems. Mosquitoes with larger bodies are typically more resilient to environmental stressors such as temperature variations, humidity, and population density, which is especially important in laboratory mass rearing. Additionally, mosquitoes with stronger immune systems are more effective for use in laboratory research related to vector competence and population control programs (Brown et al., 2019); (Mackay et al., 2023).
Larger mosquitoes also exhibit enhanced reproductive capacity, particularly females, who have the potential to produce more eggs. This is highly advantageous for mass-rearing programs in laboratories focused on studies related to vector population control, reproduction, and genetic (Mackay et al., 2023); (Mamai et al., 2017). On the other hand, larger males may have an advantage in mating competition, which is crucial for mating behavior studies or maintaining male populations used in control programs, such as the sterile insect technique (SIT) (Aldridge et al., 2024); (Contreras-Perera et al., 2023).
Survival rate of adult mosquitoes with different sugar sources
Based on the findings obtained regarding the survival rates of C. quinquefasciatus under different sugar diets, the results contrast with previous study where A. aegypti mosquitoes fed a dextrose-based diet exhibited the highest longevity, surviving an average of 14 days longer than those fed honey, highlighting speciesspecific variations in how carbohydrate sources impact longevity in different mosquito species (Posidonio et al., 2021).
In addition to sugars like sucrose and fructose, honey contains a variety of other essential nutrients, including proteins, vitamins, amino acids, minerals, and other micronutrients, each of which may contribute to its positive effects on longevity (Silva PM et al., 2016). This aligns with studies showing that providing additional amino acids to female C. quinquefasciatus resulted in a 5% increase in their survival rate, while no significant effect was observed in males (Vrzal et al., 2010). Similarly, an extended lifespan was observed in adult An. darlingi when fed complex nutrient sources, including amino acids (Zanin et al., 2019).
Survival analysis of adult mosquitoes with both different dietary nutritional larval feeds and sugar sources
Our findings suggest that survival and overall health of C. quinquefasciatus adults are closely tied to the nutritional balance of their larval diet, as an inadequate food supply during the larval stage can significantly increase adult mortality. A1:1 protein to carbohydrate ratio is ideal, providing the necessary protein for growth and development while ensuring adequate carbohydrates for energy, nutrient storage, and mitigating the risk of malnutrition (Shapiro et al., 2016). Furthermore, the presence of other essential nutrients, such as amino acids, vitamins, and lipids, is crucial for proper mosquito development, reproduction, and health. These factors, together with a balanced protein-carbohydrate diet, significantly influence mosquito growth, development, pupation, and survival (Vrzal et al., 2010); (Merritt et al., 1992); (Sivanathan & Z, 2012) ; (Joy et al., 2010) ; (Kivuyo et al., 2014) .
The results of this study are consistent with previous findings by (S & M, 2018), who reported that a more balanced protein to carbohydrate ratio in larval diets, such as those containing soybean powder, led to lower adult mortality in C. quinquefasciatus. In contrast, diets with a higher protein to carbohydrate ratio, such as fish food, dog food, and dried fish, were associated with increased adult mortality. A similar trend was also observed in A. aegypti, as noted by (Schoor T et al., 2020). This could be attributed to the elevated protein levels, which may result in the accumulation of harmful ammonia. The breakdown of proteins and amino acids produces nitrogenous waste, and high ammonia levels from protein digestion are known to be toxic to mosquitoes(Schoor T et al., 2020); (Scaraffia et al., 2008); (Dias et al., 2019).
While excessive protein intake can indeed be detrimental, our results also reveal that insufficient protein poses equally serious risks. The sharp decline in survival to only 36% after day 20 in the DF:RF (1:3) and dextrose treatment groups underscores the equally harmful impact of insufficient protein. Larvae reared on low protein diets exhibited slower growth and produced smaller adults with shorter wings, characteristics linked to reduced fitness and heightened vulnerability to environmental stress due to limited energy reserves and hemocyte numbers (Souza et al., 2019); (Linenberg et al., 2016); (Mackay et al., 2023). These findings reinforce that while nutrient excess is harmful, nutrient deficiency is equally detrimental. Thus, maintaining a balanced nutritional profile rather than minimizing or overloading any single macronutrient is essential for optimizing mosquito development and adult survivability.
Building on the importance of a balanced larval diet, sugar also plays a critical role in adult mosquito survival, particularly as their primary energy source. In temperate and subtropical climates, mosquitoes typically consume sugar within the first 2 to 5 days after emerging, as it provides the necessary energy for flight and is associated with increased survival and successful mating (Handel E, 1985); (Foster, 1995).
In nature, the primary sugar sources for mosquitoes are floral and extrafloral nectars, with nectar-derived honey serving as a complex and concentrated nutrient source rich in sugars, water, amino acids, and trace amounts of vitamins and minerals, which provide essential energy and nitrogen to support mosquito survival, longevity, and vector competence (Zanin et al., 2019); (Vrzal et al., 2010); (Foster, 1995).
The relationship between nectar-derived honey and the success of mosquitoes as disease vectors is evident, as these compounds support prolonged survival, enabling mosquitoes to feed on multiple hosts and facilitating pathogen incubation (Woodring et al., 1996). Additionally, mosquitoes, like many insects, prefer carbohydrate sources enriched with amino acids, highlighting their significant role in shaping insect life histories and enhancing survival and reproductive success (Alm et al., 1990); (Mevi-Schütz & Erhardt, 2003).
In addition to amino acids, certain phytochemicals such as quercetin and p-coumaric acid have been identified in the nectar, honey, and pollen of various plant species. These compounds have been shown to influence sugar-feeding behavior in insects (Singaravelan et al., 2005). Specifically, dietary p-coumaric acid was found to extend the lifespan of adult worker honey bees by 14.1%, while quercetin increased the longevity of adult female A. aegypti mosquitoes by 30% (Liao et al., 2017); (Nunes et al., 2016). Interestingly, the presence of these phytochemicals did not affect sugar intake, suggesting that the observed extension of lifespan was independent of sugar consumption. Both quercetin and p-coumaric acid function as antioxidants, and their role in enhancing longevity is thought to be linked to their ability to upregulate antioxidant enzymes and reduce the accumulation of reactive oxygen species (ROS), which are associated with cellular aging (Yue et al., 2019); (Alugoju et al., 2018).
Information regarding these phytochemicals effect on fecundity was limited. However, previous studies have shown that the lifespan extension observed in mosquitoes consuming p-coumaric acid and quercetin was not associated with a trade-off between longevity and reproductive output, and was instead linked to the differential expression of genes involved in xenobiotic metabolism regulation, stress resistance, and longevity, suggesting that these phytochemicals contribute to lifespan extension through multiple biological pathways (Njoroge et al., 2021); (Mao et al., 2013); (Pallauf et al., 2017).
The results of this study reveal that while honey promotes longevity and survival in both male and female mosquitoes, sucrose primarily enhances the survival of males. This difference can be attributed to the distinct nutritional profiles of honey and sucrose. Sucrose, a disaccharide composed of glucose and fructose, serves as a straightforward energy source commonly used in laboratory-reared mosquitoes (Zanin et al., 2019). Since male mosquitoes rely exclusively on sugar for energy and do not require blood meals, they may metabolize sucrose more efficiently than females, benefiting from its simple composition (Barredo & DeGennaro, 2020). In environments with higher concentrations of sucrose, the increased energy availability allows males to exhibit greater survivorship, as their metabolic needs are effectively met by sucrose alone (Vaidyanathan et al., 2008). In contrast, honey offers a more complex array of sugars, including glucose, fructose, and sucrose, alongside additional nutrients. These extra nutrients provide broader metabolic advantages, particularly for female mosquitoes, which have higher energy demands due to their reproductive and blood-feeding requirements (Foster, 1995). The absence of these supplementary compounds in sucrose likely limits its ability to sustain female longevity, as females require more than just basic sugar intake for optimal survival (Barredo & DeGennaro, 2020). This could explain why sucrose has a less pronounced effect on female mosquitoes, who need more than just simple sugars to thrive.
On the other hand, dextrose, a monosaccharide, is the simplest form of sugar, consisting solely of glucose. While glucose can be rapidly utilized by cells for energy, it provides a less sustained energy source compared to sucrose (Paulsen et al., 2019); (Nayar & Sauerman, 1971). This rapid energy spike may not support the longterm metabolic needs of mosquitoes, leading to lower survival rates when fed on dextrose alone.
Additionally, both the sucrose-fed group (DF:RF (1:1) and 100% DF) and the dextrose-fed group (DF:RF (3:1) and DF:RF (1:1)) exhibited a similar steep decline in survival rates after 40 days. This decline aligns with various studies reporting the mean adult longevity of C. quinquefasciatus males maintained at 25°C to be approximately 39.8 days and an average lifespan across different temperatures of 32.7 days, indicating that temperature significantly influences longevity and survival rates (Oda et al., 1999); (Moser et al., 2023).
CONCLUSIONS
Culex quinquefasciatus larvae fed the DF:RF (1:1) diet exhibited optimal outcomes, including the greatest larval length, pupation rate, and female wing length. Notably, the combination of the DF:RF (1:1) diet and honey as the adult sugar source was the most effective regimen for both larval development and adult survival in mass-rearing programs. These findings have practical implications for vector control strategies, as they could enhance the efficiency of interventions such as the sterile insect technique (SIT) or Wolbachia-based programs by promoting the production of healthier, longer-lived mosquitoes. To build on these insights, future research should focus on investigating the metabolic pathways involved in nutrient processing and conduct long-term studies to assess the impact of nutrition on vector competence.
References
- Aldridge R.L., Gibson S., Linthicum K.J.. Aedes aegypti controls Ae. Aegypti: SIT and IIT-An Overview. Journal of the American Mosquito Control Association. 2024; 40:32-49. DOI
- Alm J., Ohnmeiss T.E., Lanza J., Vriesenga L.. Preference of cabbage white butterflies and honey bees for nectar that contains amino acids. Oecologia. 1990; 84:53-57. DOI
- Alugoju P., Janardhanshetty S.S., Subaramanian S., Periyasamy L., Dyavaiah M.. Quercetin Protects Yeast Saccharomyces cerevisiae pep4 Mutant from oxidative and apoptotic stress and extends chronological lifespan. Current Microbiology. 2018; 75:519-530. DOI
- Barredo E., DeGennaro M.. Not just from blood: Mosquito nutrient acquisition from nectar sources. Trends in Parasitology. 2020; 36:473-484. DOI
- S Bhattacharya, P Basu. The southern house mosquito, Culex quinquefasciatus: Profile of a smart vector. Journal of Entomology and Zoology Studies. 2016; 4:73-81.
- Bhujel P., Saha D.. Rearing Protocol for Culex quinquefasciatus. Science Vision. 2023; 23:61-65. DOI
- Briegel H.. Fecundity, metabolism, and body size in Anopheles (Diptera: Culicidae), vectors of malaria. Journal of Medical Entomology. 1990; 27:839-850. DOI
- Brown L.D., Shapiro L.L.M., Thompson G.A., Estévez-Lao T.Y., Hillyer J.F.. Transstadial immune activation in a mosquito: Adults that emerge from infected larvae have stronger antibacterial activity in their hemocoel yet increased susceptibility to malaria infection. Ecology and Evolution. 2019; 9:6082-6095. DOI
- Carvajal-Lago L., Ruiz-López M.J., Figuerola J., Puente J.. Implications of diet on mosquito life history traits and pathogen transmission. Environmental Research. 2021; 195(110893)DOI
- Cheng Y., Tran Minh N., Tran Minh Q., Khandelwal S., Clapham H.E.. Estimates of Japanese encephalitis mortality and morbidity: A systematic review and modeling analysis. PLoS Neglected Tropical Diseases. 2022; 16:e0010361DOI
- Contreras-Perera Y., Flores-Pech J.P., Pérez-Carillo S., Puerta-Guardo H., Geded-Moreno E., Correa-Morales F., Che-Mendoza A.. Different larval diets for Aedes aegypti (Diptera: Culicidae) under laboratory conditions: In preparation for a mass-rearing system. Biologia. 2023; 78:3387-3399. DOI
- Silva PMC Gauche, LV Gonzaga, ACO Costa, R Fett. Honey: Chemical composition, stability and authenticity. Food Chemistry. 2016; 196:309-323. DOI
- Dias A.C.A., Rodrigues M.M.S., Silva A.A.. Effect of acute and chronic exposure to ammonia on different larval instars of Anopheles darlingi (Diptera: Culicidae. Journal of Vector Ecology: Journal of the Society for Vector Ecology. 2019; 44:112-118. DOI
- S Elora, M Sarkar. Larval diet influences development growth and survival of mosquitoes in artificial rearing condition. International Journal of Mosquito Research. 2018; 5:7-11.
- Foster W.A.. Mosquito sugar feeding and reproductive energetics. Annual Review of Entomology. 1995; 40:443-474. DOI
- Garjito T.A., null Widiarti, Anggraeni Y.M., Alfiah S., Tunggul Satoto T.B., Farchanny A., Samaan G.. Japanese encephalitis in Indonesia: An update on epidemiology and transmission ecology. Acta Tropica. 2018; 187:240-247. DOI
- Hellhammer F., Heinig-Hartberger M., Neuhof P., Teitge F., Jung-Schroers V., Becker S.C.. Impact of different diets on the survival, pupation, and adult emergence of Culex pipiens biotype molestus larvae, and infectability with the insect-specific Culex Y virus. Frontiers in Tropical Diseases. 2023; 4(1107857)DOI
- Joy T.K., Arik A.J., Corby-Harris V., Johnson A.A., Riehle M.A.. The impact of larval and adult dietary restriction on lifespan, reproduction and growth in the mosquito Aedes aegypti. Experimental Gerontology. 2010; 45:685-690. DOI
- Kessler S., Vlimant M., Guerin P.M.. Sugar-sensitive neurone responses and sugar feeding preferences influence lifespan and biting behaviours of the afrotropical malaria mosquito, Anopheles gambiae. Journal of Comparative Physiology. A, Neuroethology, Sensory, Neural, and Behavioral Physiology. 2015; 201:317-329. DOI
- Kivuyo H.S., Mbazi P.H., Kisika D.S., Munga S., Rumisha S.F., Urasa F.M., Kweka E.J..In: Boudko D., Ed). PLoS ONE. 9:e110671. 2014. DOI
- Liao L.-H., Wu W.-Y., Berenbaum M.. Impacts of dietary phytochemicals in the presence and absence of pesticides on longevity of honey bees (Apis mellifera. Insects. 2017; 8(22)DOI
- Linenberg I., Christophides G.K., Gendrin M.. Larval diet affects mosquito development and permissiveness to Plasmodium infection. Scientific Reports. 2016; 6(38230)DOI
- Mackay A.J., Yan J., Kim C.-H., Barreaux A.M.G., Stone C.M.. Larval diet and temperature alter mosquito immunity and development: Using body size and developmental traits to track carry-over effects on longevity. Parasites & Vectors. 2023; 16(434)DOI
- Mamai W., Bimbile-Somda N.S., Maiga H., Juarez J.G., Muosa Z.A.I., Ali A.B., Lees R.S.. Optimization of mosquito egg production under mass rearing setting: Effects of cage volume, blood meal source and adult population density for the malaria vector, Anopheles arabiensis. Malaria Journal. 2017; 16(41)DOI
- Mao W., Schuler M.A., Berenbaum M.R.. Honey constituents up-regulate detoxification and immunity genes in the western honey bee Apis mellifera. Proceedings of the National Academy of Sciences. 2013; 110:8842-8846. DOI
- Merritt R.W., Dadd R.H., Walker E.D.. Feeding behavior, natural food, and nutritional relationships of larval mosquitoes. Annual Review of Entomology. 1992; 37:349-374. DOI
- Mevi-Schütz J., Erhardt A.. Effects of nectar amino acids on fecundity of the wall brown butterfly (Lasiommata megera L. Basic and Applied Ecology. 2003; 4:413-421. DOI
- Miyamoto T., Amrein H.. Gluconeogenesis: An ancient biochemical pathway with a new twist. Fly. 2017; 11:218-223. DOI
- Moser S.K., Barnard M., Frantz R.M., Spencer J.A., Rodarte K.A., Crooker I.K., Bartlow A.W.. Scoping review of Culex mosquito life history trait heterogeneity in response to temperature. Parasites & Vectors. 2023; 16(200)DOI
- Nayar J.K., Sauerman D.M.. The effects of diet on life-span, fecundity and flight potential of Aedes taeniorhynchus adults. Journal of Medical Entomology. 1971; 8:506-513. DOI
- Njoroge T.M., Calla B., Berenbaum M.R., Stone C.M.. Specific phytochemicals in floral nectar up‐regulate genes involved in longevity regulation and xenobiotic metabolism, extending mosquito life span. Ecology and Evolution. 2021; 11:8363-8380. DOI
- Nunes R.D., Ventura-Martins G., Moretti D.M., Medeiros-Castro P., Rocha-Santos C., Daumas-Filho C.R.D.O., Bittencourt-Cunha P.R.B.. Polyphenol-rich diets exacerbate AMPK-mediated autophagy, decreasing proliferation of mosquito midgut microbiota, and extending vector lifespan. PLOS Neglected Tropical Diseases. 2016; 10:e0005034DOI
- Oda T., Uchida K., Mori A., Mine M., Eshita Y., Kurokawa K., Kato K.. Effects of high temperature on the emergence and survival of adult Culex pipiens molestus and Culex quinquefasciatus in Japan. Journal of the American Mosquito Control Association. 1999; 15:153-156.
- Omotayo A.I., Dogara M.M., Sufi D., Shuaibu T., Balogun J., Dawaki S., Muktar B.. 2022. DOI
- Ong S.-Q., Jaal Z.. Larval age and nutrition affect the susceptibility of Culex quinquefasciatus (Diptera: Culicidae) to temephos. Journal of Insect Science. 2018; 18(38)DOI
- Paige A.S., Bellamy S.K., Alto B.W., Dean C.L., Yee D.A.. Linking nutrient stoichiometry to Zika virus transmission in a mosquito. Oecologia. 2019; 191:1-10. DOI
- Pallauf K., Duckstein N., Rimbach G.. A literature review of flavonoids and lifespan in model organisms. Proceedings of the Nutrition Society. 2017; 76:145-162. DOI
- Paulsen P.A., Custódio T.F., Pedersen B.P.. Crystal structure of the plant symporter STP10 illuminates sugar uptake mechanism in monosaccharide transporter superfamily. Nature Communications. 2019; 10(407)DOI
- Petersen V., Marchi M.J., Natal D., Marrelli M.T., Barbosa A.C., Suesdek L.. Assessment of the correlation between wing size and body weight in captive Culex quinquefasciatus. Revista da Sociedade Brasileira de Medicina Tropical. 2016; 49:508-511. DOI
- Pooraiiouby R., Sharma A., Beard J., Reyes J., Nuss A., Gulia-Nuss M.. Nutritional quality during development alters insulin-like peptides’ expression and physiology of the adult yellow fever mosquito, Aedes aegypti. Insects. 2018; 9(110)DOI
- Posidonio A.P.V., Oliveira L.H.G., Rique H.L., Nunes F.C.. The longevity of Aedes aegypti mosquitoes is determined by carbohydrate intake. Arquivo Brasileiro de Medicina Veterinária e Zootecnia. 2021; 73:162-168. DOI
- Rivera-Pérez C., Clifton M.E., Noriega F.G.. How micronutrients influence the physiology of mosquitoes. Current Opinion in Insect Science. 2017; 23:112-117. DOI
- Scaraffia P.Y., Tan G., Isoe J., Wysocki V.H., Wells M.A., Miesfeld R.L.. Discovery of an alternate metabolic pathway for urea synthesis in adult Aedes aegypti mosquitoes. Proceedings of the National Academy of Sciences. 2008; 105:518-523. DOI
- Shapiro L.L.M., Murdock C.C., Jacobs G.R., Thomas R.J., Thomas M.B.. Larval food quantity affects the capacity of adult mosquitoes to transmit human malaria. Proceedings of the Royal Society B: Biological Sciences. 283:20160298. 2016. DOI
- Singaravelan N., Nee’man G., Inbar M., Izhaki I.. Feeding responses of free-flying honeybees to secondary compounds mimicking floral nectars. Journal of Chemical Ecology. 2005; 31:2791-2804. DOI
- Sivanathan M.M., Z J.. Nutrition and overcrowding effects on larval development and fecundity of female Aedes albopticus (Skuse. International Journal of Life Science and Medical Research. 2012; 2:63-67. DOI
- Souza R.S., Virginio F., Riback T.I.S., Suesdek L., Barufi J.B., Genta F.A.. Microorganism-based larval diets affect mosquito development, size and nutritional reserves in the yellow fever mosquito Aedes aegypti (Diptera: Culicidae. Frontiers in Physiology. 2019; 10(152)DOI
- Sudomo M., Chayabejara S., Duong S., Hernandez L., Wu W.-P., Bergquist R.. Elimination of lymphatic filariasis in Southeast Asia. Advances in Parasitology. 2010; 72:205-233. DOI
- Thompson S.N., Redak R.A., Borchardt D.B.. The glucogenic response of a parasitized insect Manduca sexta L. is partially mediated by differential nutrient intake. Biochimica et Biophysica Acta. 2002; 1571:138-150. DOI
- N Thompson Stewart. Gluconeogenesis and effect of nutritional status on TCA cycle activity in the insect Manduca sexta. Biochimica et Biophysica Acta. 1995; 1245:376-384. DOI
- Vaidyanathan R., Fleisher A.E., Minnick S.L., Simmons K.A., Scott T.W.. Nutritional stress affects mosquito survival and vector competence for West Nile Virus. Vector-Borne and Zoonotic Diseases. 2008; 8:727-732. DOI
- Handel E Rapid determination of glycogen and sugars in mosquitoes. Journal of the American Mosquito Control Association. 1985; 1:299-301.
- Handel EJF Day. Correlation between wing length and protein content of mosquitoes. Journal of The American Mosquito Control Association. 1989; 5:180-182.
- Schoor TET Kelly, N Tam, GM Attardo. Impacts of dietary nutritional composition on larval development and adult body composition in the yellow fever mosquito (Aedes aegypti. Insects. 2020; 11(535)DOI
- Vrzal E.M., Allan S.A., Hahn D.A.. Amino acids in nectar enhance longevity of female Culex quinquefasciatus mosquitoes. Journal of Insect Physiology. 2010; 56:1659-1664. DOI
- Woodring J.L., Higgs S., Beaty B.J..In: Beaty B.J., Marquardt W.C.. Biology of Disease Vectors. University Press of Colorado; 1996:51-72.
- Organization World Health. World Health Organization; 2020.
- Yan J., Kibech R., Stone C.M.. Differential effects of larval and adult nutrition on female survival, fecundity, and size of the yellow fever mosquito, Aedes aegypti. Frontiers in Zoology. 2021; 18(10)DOI
- Yan J., Kim C.-H., Chesser L., Ramirez J.L., Stone C.M.. Nutritional stress compromises mosquito fitness and antiviral immunity, while enhancing dengue virus infection susceptibility. Communications Biology. 2023; 6(1123)DOI
- Yue Y., Shen P., Xu Y., Park Y.. p‐Coumaric acid improves oxidative and osmosis stress responses in Caenorhabditis elegans. Journal of the Science of Food and Agriculture. 2019; 99:1190-1197. DOI
- Zanin C.R.F., Trindade F.T.T., E Silva A.. Effect of different food and sugar sources on the larval biology and adult longevity of Anopheles darlingi (Diptera: Culicidae. Tropical Biomedicine. 2019; 36:569-577.
Aldridge RL, Gibson S, Linthicum KJ. 2024. Aedes aegypti controls Ae. Aegypti: SIT and IIT-An Overview. Journal of the American Mosquito Control Association. 40:32–49. DOI: https://doi.org/10.2987/23-7154.
Alm J, Ohnmeiss TE, Lanza J, Vriesenga L. 1990. Preference of cabbage white butterflies and honey bees for nectar that contains amino acids. Oecologia. 84:53–57. DOI: https://doi.org/10.1007/BF00665594.
Alugoju P, Janardhanshetty SS, Subaramanian S, Periyasamy L, Dyavaiah M. 2018. Quercetin Protects Yeast Saccharomyces cerevisiae pep4 Mutant from oxidative and apoptotic stress and extends chronological lifespan. Current Microbiology. 75:519–530. DOI: https://doi.org/10.1007/s00284-017-1412-x.
Barredo E, DeGennaro M. 2020. Not just from blood: Mosquito nutrient acquisition from nectar sources. Trends in Parasitology. 36:473–484. DOI: https://doi.org/10.1016/j.pt.2020.02.003.
Bhattacharya S & Basu P. 2016. The southern house mosquito, Culex quinquefasciatus: Profile of a smart vector. Journal of Entomology and Zoology Studies. 4:73–81.
Bhujel P, Saha D. 2023. Rearing Protocol for Culex quinquefasciatus. Science Vision. 23:61–65. DOI: https://doi.org/10.33493/scivis.23.04.01.
Briegel H. 1990. Fecundity, metabolism, and body size in Anopheles (Diptera: Culicidae), vectors of malaria. Journal of Medical Entomology. 27:839–850. DOI: https://doi.org/10.1093/jmedent/27.5.839.
Brown LD, Shapiro LLM, Thompson GA, Estévez-Lao TY, Hillyer JF. 2019. Transstadial immune activation in a mosquito: Adults that emerge from infected larvae have stronger antibacterial activity in their hemocoel yet increased susceptibility to malaria infection. Ecology and Evolution. 9:6082–6095. DOI: https://doi.org/10.1002/ece3.5192.
Carvajal-Lago L, Ruiz-López MJ, Figuerola J, Martínez-de La Puente J. 2021. Implications of diet on mosquito life history traits and pathogen transmission. Environmental Research. 195:110893. DOI: https://doi.org/10.1016/j.envres.2021.110893.
Cheng Y, Tran Minh N, Tran Minh Q, Khandelwal S, Clapham HE. 2022. Estimates of Japanese encephalitis mortality and morbidity: A systematic review and modeling analysis. PLoS Neglected Tropical Diseases. 16:e0010361. DOI: https://doi.org/10.1371/journal.pntd.0010361.
Contreras-Perera Y, Flores-Pech JP, Pérez-Carillo S, Puerta-Guardo H, Geded-Moreno E, Correa-Morales F, Che-Mendoza A, et al. 2023. Different larval diets for Aedes aegypti (Diptera: Culicidae) under laboratory conditions: In preparation for a mass-rearing system. Biologia. 78:3387–3399. DOI: https://doi.org/10.1007/s11756-023-01469-5.
Da Silva PM, Gauche C, Gonzaga LV, Costa ACO, Fett R. 2016. Honey: Chemical composition, stability and authenticity. Food Chemistry. 196:309–323. DOI: https://doi.org/10.1016/j.foodchem.2015.09.051.
Dias ACA, Rodrigues MMS, Silva AA. 2019. Effect of acute and chronic exposure to ammonia on different larval instars of Anopheles darlingi (Diptera: Culicidae). Journal of Vector Ecology: Journal of the Society for Vector Ecology. 44:112–118. DOI: https://doi.org/10.1111/jvec.12335.
Elora S & Sarkar M. 2018. Larval diet influences development growth and survival of mosquitoes in artificial rearing condition. International Journal of Mosquito Research. 5:7–11.
Foster WA. 1995. Mosquito sugar feeding and reproductive energetics. Annual Review of Entomology. 40:443–474. DOI: https://doi.org/10.1146/annurev.en.40.010195.002303.
Garjito TA, Widiarti null, Anggraeni YM, Alfiah S, Tunggul Satoto TB, Farchanny A, Samaan G, et al. 2018. Japanese encephalitis in Indonesia: An update on epidemiology and transmission ecology. Acta Tropica. 187:240–247. DOI: https://doi.org/10.1016/j.actatropica.2018.08.017.
Hellhammer F, Heinig-Hartberger M, Neuhof P, Teitge F, Jung-Schroers V, Becker SC. 2023. Impact of different diets on the survival, pupation, and adult emergence of Culex pipiens biotype molestus larvae, and infectability with the insect-specific Culex Y virus. Frontiers in Tropical Diseases. 4:1107857. DOI: https://doi.org/10.3389/fitd.2023.1107857.
Joy TK, Arik AJ, Corby-Harris V, Johnson AA, Riehle MA. 2010. The impact of larval and adult dietary restriction on lifespan, reproduction and growth in the mosquito Aedes aegypti. Experimental Gerontology. 45:685–690. DOI: https://doi.org/10.1016/j.exger.2010.04.009.
Kessler S, Vlimant M, Guerin PM. 2015. Sugar-sensitive neurone responses and sugar feeding preferences influence lifespan and biting behaviours of the afrotropical malaria mosquito, Anopheles gambiae. Journal of Comparative Physiology. A, Neuroethology, Sensory, Neural, and Behavioral Physiology. 201:317–329. DOI: https://doi.org/10.1007/s00359-015-0978-7.
Kivuyo HS, Mbazi PH, Kisika DS, Munga S, Rumisha SF, Urasa FM, Kweka EJ. 2014. Performance of five food regimes on Anopheles gambiae senso stricto larval rearing to adult emergence in insectary. (D. Boudko, Ed.). PLoS ONE. 9:e110671. DOI: https://doi.org/10.1371/journal.pone.0110671.
Liao L-H, Wu W-Y, Berenbaum M. 2017. Impacts of dietary phytochemicals in the presence and absence of pesticides on longevity of honey bees (Apis mellifera). Insects. 8:22. DOI: https://doi.org/10.3390/insects8010022.
Linenberg I, Christophides GK, Gendrin M. 2016. Larval diet affects mosquito development and permissiveness to Plasmodium infection. Scientific Reports. 6:38230. DOI: https://doi.org/10.1038/srep38230.
Mackay AJ, Yan J, Kim C-H, Barreaux AMG, Stone CM. 2023. Larval diet and temperature alter mosquito immunity and development: Using body size and developmental traits to track carry-over effects on longevity. Parasites & Vectors. 16:434. DOI: https://doi.org/10.1186/s13071-023-06037-z.
Mamai W, Bimbile-Somda NS, Maiga H, Juarez JG, Muosa ZAI, Ali AB, Lees RS, et al. 2017. Optimization of mosquito egg production under mass rearing setting: Effects of cage volume, blood meal source and adult population density for the malaria vector, Anopheles arabiensis. Malaria Journal. 16:41. DOI: https://doi.org/10.1186/s12936-017-1685-3.
Mao W, Schuler MA, Berenbaum MR. 2013. Honey constituents up-regulate detoxification and immunity genes in the western honey bee Apis mellifera. Proceedings of the National Academy of Sciences. 110:8842–8846. DOI: https://doi.org/10.1073/pnas.1303884110.
Merritt RW, Dadd RH, Walker ED. 1992. Feeding behavior, natural food, and nutritional relationships of larval mosquitoes. Annual Review of Entomology. 37:349–374. DOI: https://doi.org/10.1146/annurev.en.37.010192.002025.
Mevi-Schütz J, Erhardt A. 2003. Effects of nectar amino acids on fecundity of the wall brown butterfly (Lasiommata megera L.). Basic and Applied Ecology. 4:413–421. DOI: https://doi.org/10.1078/1439-1791-00183.
Miyamoto T, Amrein H. 2017. Gluconeogenesis: An ancient biochemical pathway with a new twist. Fly. 11:218–223. DOI: https://doi.org/10.1080/19336934.2017.1283081.
Moser SK, Barnard M, Frantz RM, Spencer JA, Rodarte KA, Crooker IK, Bartlow AW, et al. 2023. Scoping review of Culex mosquito life history trait heterogeneity in response to temperature. Parasites & Vectors. 16:200. DOI: https://doi.org/10.1186/s13071-023-05792-3.
Nayar JK, Sauerman DM. 1971. The effects of diet on life-span, fecundity and flight potential of Aedes taeniorhynchus adults. Journal of Medical Entomology. 8:506–513. DOI: https://doi.org/10.1093/jmedent/8.5.506.
Njoroge TM, Calla B, Berenbaum MR, Stone CM. 2021. Specific phytochemicals in floral nectar up‐regulate genes involved in longevity regulation and xenobiotic metabolism, extending mosquito life span. Ecology and Evolution. 11:8363–8380. DOI: https://doi.org/10.1002/ece3.7665.
Nunes RD, Ventura-Martins G, Moretti DM, Medeiros-Castro P, Rocha-Santos C, Daumas-Filho CRDO, Bittencourt-Cunha PRB, et al. 2016. Polyphenol-rich diets exacerbate AMPK-mediated autophagy, decreasing proliferation of mosquito midgut microbiota, and extending vector lifespan. PLOS Neglected Tropical Diseases. 10:e0005034. DOI: https://doi.org/10.1371/journal.pntd.0005034.
Oda T, Uchida K, Mori A, Mine M, Eshita Y, Kurokawa K, Kato K, et al. 1999. Effects of high temperature on the emergence and survival of adult Culex pipiens molestus and Culex quinquefasciatus in Japan. Journal of the American Mosquito Control Association. 15:153–156.
Omotayo AI, Dogara MM, Sufi D, Shuaibu T, Balogun J, Dawaki S, Muktar B, et al. 2022. High pyrethroid-resistance intensity in Culex quinquefasciatus (Say) (Diptera: Culicidae) populations from Jigawa, North-West, Nigeria. PLOS Neglected Tropical Diseases. 16:e0010525. DOI: https://doi.org/10.1371/journal.pntd.0010525.
Ong S-Q, Jaal Z. 2018. Larval age and nutrition affect the susceptibility of Culex quinquefasciatus (Diptera: Culicidae) to temephos. Journal of Insect Science. 18:38. DOI: https://doi.org/10.1093/jisesa/iey032.
Paige AS, Bellamy SK, Alto BW, Dean CL, Yee DA. 2019. Linking nutrient stoichiometry to Zika virus transmission in a mosquito. Oecologia. 191:1–10. DOI: https://doi.org/10.1007/s00442-019-04429-6.
Pallauf K, Duckstein N, Rimbach G. 2017. A literature review of flavonoids and lifespan in model organisms. Proceedings of the Nutrition Society. 76:145–162. DOI: https://doi.org/10.1017/S0029665116000720.
Paulsen PA, Custódio TF, Pedersen BP. 2019. Crystal structure of the plant symporter STP10 illuminates sugar uptake mechanism in monosaccharide transporter superfamily. Nature Communications. 10:407. DOI: https://doi.org/10.1038/s41467-018-08176-9.
Petersen V, Marchi MJ, Natal D, Marrelli MT, Barbosa AC, Suesdek L. 2016. Assessment of the correlation between wing size and body weight in captive Culex quinquefasciatus. Revista da Sociedade Brasileira de Medicina Tropical. 49:508–511. DOI: https://doi.org/10.1590/0037-8682-0039-2016.
Pooraiiouby R, Sharma A, Beard J, Reyes J, Nuss A, Gulia-Nuss M. 2018. Nutritional quality during development alters insulin-like peptides’ expression and physiology of the adult yellow fever mosquito, Aedes aegypti. Insects. 9:110. DOI: https://doi.org/10.3390/insects9030110.
Posidonio APV, Oliveira LHG, Rique HL, Nunes FC. 2021. The longevity of Aedes aegypti mosquitoes is determined by carbohydrate intake. Arquivo Brasileiro de Medicina Veterinária e Zootecnia. 73:162–168. DOI: https://doi.org/10.1590/1678-4162-12080.
Rivera-Pérez C, Clifton ME, Noriega FG. 2017. How micronutrients influence the physiology of mosquitoes. Current Opinion in Insect Science. 23:112–117. DOI: https://doi.org/10.1016/j.cois.2017.07.002.
Scaraffia PY, Tan G, Isoe J, Wysocki VH, Wells MA, Miesfeld RL. 2008. Discovery of an alternate metabolic pathway for urea synthesis in adult Aedes aegypti mosquitoes. Proceedings of the National Academy of Sciences. 105:518–523. DOI: https://doi.org/10.1073/pnas.0708098105.
Shapiro LLM, Murdock CC, Jacobs GR, Thomas RJ, Thomas MB. 2016. Larval food quantity affects the capacity of adult mosquitoes to transmit human malaria. Proceedings of the Royal Society B: Biological Sciences. 283:20160298. DOI: https://doi.org/10.1098/rspb.2016.0298.
Singaravelan N, Nee’man G, Inbar M, Izhaki I. 2005. Feeding responses of free-flying honeybees to secondary compounds mimicking floral nectars. Journal of Chemical Ecology. 31:2791–2804. DOI: https://doi.org/10.1007/s10886-005-8394-z.
Sivanathan MM, J Z. 2012. Nutrition and overcrowding effects on larval development and fecundity of female Aedes albopticus (Skuse). International Journal of Life Science and Medical Research. 2:63–67. DOI: https://doi.org/10.5963/LSMR0204002.
Souza RS, Virginio F, Riback TIS, Suesdek L, Barufi JB, Genta FA. 2019. Microorganism-based larval diets affect mosquito development, size and nutritional reserves in the yellow fever mosquito Aedes aegypti (Diptera: Culicidae). Frontiers in Physiology. 10:152. DOI: https://doi.org/10.3389/fphys.2019.00152.
Sudomo M, Chayabejara S, Duong S, Hernandez L, Wu W-P, Bergquist R. 2010. Elimination of lymphatic filariasis in Southeast Asia. Advances in Parasitology. 72:205–233. DOI: https://doi.org/10.1016/S0065-308X(10)72008-X.
Thompson SN, Redak RA, Borchardt DB. 2002. The glucogenic response of a parasitized insect Manduca sexta L. is partially mediated by differential nutrient intake. Biochimica et Biophysica Acta. 1571:138–150. DOI: https://doi.org/10.1016/S0304-4165(02)00208-8.
Thompson Stewart N. 1995. Gluconeogenesis and effect of nutritional status on TCA cycle activity in the insect Manduca sexta. Biochimica et Biophysica Acta. 1245:376–384. DOI: https://doi.org/10.1016/0304-4165(95)00107-7.
Vaidyanathan R, Fleisher AE, Minnick SL, Simmons KA, Scott TW. 2008. Nutritional stress affects mosquito survival and vector competence for West Nile Virus. Vector-Borne and Zoonotic Diseases. 8:727–732. DOI: https://doi.org/10.1089/vbz.2007.0189.
Van Handel E. 1985. Rapid determination of glycogen and sugars in mosquitoes. Journal of the American Mosquito Control Association. 1:299–301.
Van Handel E, Day JF. 1989. Correlation between wing length and protein content of mosquitoes. Journal of The American Mosquito Control Association. 5:180–182.
Van Schoor T, Kelly ET, Tam N, Attardo GM. 2020. Impacts of dietary nutritional composition on larval development and adult body composition in the yellow fever mosquito (Aedes aegypti). Insects. 11:535. DOI: https://doi.org/10.3390/insects11080535.
Vrzal EM, Allan SA, Hahn DA. 2010. Amino acids in nectar enhance longevity of female Culex quinquefasciatus mosquitoes. Journal of Insect Physiology. 56:1659–1664. DOI: https://doi.org/10.1016/j.jinsphys.2010.06.011.
Woodring JL, Higgs S, Beaty BJ. 1996. Natural cycles of vector-borne pathogens. In: Beaty BJ, Marquardt WC (Eds.), Biology of Disease Vectors. pp. 51–72. University Press of Colorado.
World Health Organization [WHO]. 2020. Pictorial Identification Key of Important Disease Vectors in The WHO South-East Asia Region. World Health Organization.
Yan J, Kibech R, Stone CM. 2021. Differential effects of larval and adult nutrition on female survival, fecundity, and size of the yellow fever mosquito, Aedes aegypti. Frontiers in Zoology. 18:10. DOI: https://doi.org/10.1186/s12983-021-00395-z.
Yan J, Kim C-H, Chesser L, Ramirez JL, Stone CM. 2023. Nutritional stress compromises mosquito fitness and antiviral immunity, while enhancing dengue virus infection susceptibility. Communications Biology. 6:1123. DOI: https://doi.org/10.1038/s42003-023-05516-4.
Yue Y, Shen P, Xu Y, Park Y. 2019. p‐Coumaric acid improves oxidative and osmosis stress responses in Caenorhabditis elegans. Journal of the Science of Food and Agriculture. 99:1190–1197. DOI: https://doi.org/10.1002/jsfa.9288.
Zanin CRF, Trindade FTT, Silva A a. E. 2019. Effect of different food and sugar sources on the larval biology and adult longevity of Anopheles darlingi (Diptera: Culicidae). Tropical Biomedicine. 36:569–577.
Copyright (c) 2025 Rahmidevi Alfiani, Dherika, Ahmad Syafiq Zuhri, Ainur Subhan Firdaus, Saila Rachma, Muhammad Arya Rizqi Samiaji, Yesika Nanda Pramurdya, Sri Yusmalinar, Intan Ahmad

This work is licensed under a Creative Commons Attribution 4.0 International License.
Authors who publish with this journal agree to the following terms:
- Authors retain copyright and grant the journal right of first publication with the work simultaneously licensed under a Creative Commons Attribution 4.0 International License that allows others to share the work with an acknowledgement of the work's authorship and initial publication in this journal.
- Authors are able to enter into separate, additional contractual arrangements for the non-exclusive distribution of the journal's published version of the work (e.g., post it to an institutional repository or publish it in a book), with an acknowledgement of its initial publication in this journal.
- Authors are permitted and encouraged to post their work online (e.g., in institutional repositories or on their website) prior to and during the submission process, as it can lead to productive exchanges, as well as earlier and greater citation of published work (See The Effect of Open Access).









