Tropical lowland rainforest conversion to rubber monoculture affects flight activity and pollen resources of the stingless bees Tetragonula laeviceps
Konversi hutan tropis dataran rendah menjadi lahan monokultur karet mempengaruhi aktivitas terbang dan asupan sumber daya lebah tanpa sengat Tetragonula laeviceps
Tropical lowland rainforest conversion leads to decreases diversity and population in insect pollinators, including stingless bees. However, how stingless bees respond to this conversion is still being studied. In this study we observed the number of flight activities of the Tetragonula laeviceps (Smith) in three converted land types in Jambi, Sumatra; identified the pollen resources of T. laeviceps from the collected pollen in the hind tibia; and exploring the flowering plants surrounding the T. laeviceps nests. Four flight activities were observed, i.e., flying out of the nest, returning with pollen, returning without pollen, and returning with resin. In addition to the flight activity, we observed flight direction and environmental factors and identified pollen composition from the hind tibia of stingless bees. This study showed that forest fragments had the highest number of bees flying out of the nest. Bees returning with or without pollen in the fragmented forest with high coverage were higher than in other habitats. The highest number of bees returning with resin was found in the rubber plantation with high coverage, while the lowest number of all flight activities were observed in the shrub with low coverage. The stingless bees mainly collected pollen from rubber flowers supported by their flight directions leading to blooming rubber trees. Our study showed that the conversion of tropical lowland rainforests in this case rubber plantation affects on decreasing the flight activities and pollen collecting of stingless bees, which may have a significant impact on the resources needed by the bees.
Downloads
INTRODUCTION
Land transformation into monoculture decreases vegetation diversity and ecological function (Barnes et al., 2014) , leading to changes in biotic and abiotic factors (Drescher et al., 2016) . It also threatens the tropical biota(Dirzo & Raven, 2003) and reduces the species richness of plants and animals around the converted land(Schulze et al., 2004). Land transformation increasingly threatens insect pollinators (Ricketts et al., 2008) due to the reduction of trees needed for nesting, mating, oviposition, resting, and pollen and nectar resources (Kevan, 1999).
Insect pollinators play an essential role in the stability of the ecosystem (Klein et al., 2007) because of the mutual interactions between insect pollinators and plants (Brandenburg et al., 2009) . Pollination by Tetragonula minangkabau (Sakagami & Inoue) and Tetragonula laeviceps(Smith) on chilli pepper increased the fruit set by 79% and 82%, respectively (Putra et al., 2016). The insect pollinator in Jambi was a butterfly, fly, honey bees, and stingless bees (Siregar et al., 2016).
Stingless bees distribute in different environments in many regions, such as India, Singapore, Papua New Guinea, and Indonesia (Rasmussen, 2008)(Hrncir et al., 2019) . In Indonesia, there are 46 species of stingless bees (Kahono et al., 2018) , and seven species of stingless bees were found in Jambi, including T. laeviceps (Siregar et al., 2016). Jambi Province was dominated by lowland tropical forests (Mudiyarso et al., 2002). However, the land cover has been converted into three different habitats, i.e., fragmented forest, rubber plantation, and shrub (Nurwanda et al., 2016) affecting the flight activities of stingless bees (Kaluza et al., 2015) .
The flight activities of Tetragonula carbonaria (Smith) in Queensland displayed the highest amount of flight activity in gardens compared to the forest and Macadamia plantations (Kaluza et al., 2015) . The flight activities of Heterotrigona itama (Cockerell) in Malaysia was observed around 8 am–5 pm, with the most nectar collection between 8 am–9 am. Pollen foragers appeared between 9 am–11 am, while the peak occurred at 10 am. Flight activities are also affected by temperature, humidity, and light intensity(Jaapar et al., 2018) . The foraging behavior of stingless bees in oil palm and rubber plantations showed an increase in the number of returning stingless bees to the nest with pollen in the morning, followed by a decreasing flight in the afternoon. Different environmental factors influenced the foraging of the stingless bee species (Ramadani et al., 2021). There is no information about stingless bee flight activity in converted shrubland. Thus, our study aimed to observe the flight activities of stingless bee T. laeviceps in the fragmented forest, rubber plantation, and shrubland with three different forest coverages, i.e., high, medium, and low in the Jambi Sumatra. The correlation between flight activities of T. laeviceps and environmental factors, i.e., temperature, humidity, and light intensity in those habitats was also analyzed. Furthermore, the pollen composition collected by T. laeviceps in the hind tibia and flowering plants surrounding thenests were identified as well.
MATERIALS & METHODS
Study sites
The research was carried out in July−September 2018 at the Sridadi, Pompa Air, Bungku, and Sengkawang Luar Villages, Batanghari District, Jambi Province, IndonesiaTable 1Figure 1 . Eighteen colonies of T. laeviceps from meliponiculture in Bengkulu Province, Sumatra were placed in three types of habitats i.e., fragmented forest, rubber, and shrub with six colonies respectively. These stingless bee colonies were used for observing flight activities in the different habitats and their surrounding forest coverage, i.e., high, medium, and low coverage Table 1 .The percentage of forest cover within a 500 m radius around these nine study sites was visually determined from SPOT 5/6 satellite imagery (CRC 990 EFForTS). Two colonies of stingless bees were used in each forest coverage in each habitat.
Observation of flight activity and flight direction
Figure 1.Map of Jambi Province showing the nine observation sites of Tetragonula laeviceps in the fragmented forest, rubber plantation, and shrub.
| Habitat | Coverage levels | Sites | Village | GPS | Number of colonies |
|---|---|---|---|---|---|
| Fragmented forest | High coverage (FH) | F28 | Sridadi | -1.78091’S 103.22663’E | 2 |
| Medium coverage (FM) | F26 | Sridadi | -1.86386’S 103.2893’E | 2 | |
| Low coverage (FL) | F08 | Pompa Air | -1.80451’S 103.2053’E | 2 | |
| Rubber plantation | High coverage (RH) | R05 | Bungku | -1.91117’S 103.2668’E | 2 |
| Medium coverage (RM) | R07 | Bungku | -1.89032’S 103.2573’E | 2 | |
| Low coverage (RL) | R01 | Bungku | -1.9428’S 103.2502’E | 2 | |
| Shrub | High coverage (SH) | S07 | Bungku | -1.90265’S 103.2494’E | 2 |
| Medium coverage (SM) | S28 | Sridadi | -1.75947’S 103.2148’E | 2 | |
| Low coverage (SL) | S24 | Sengkawang Luar | -1.784667’S 103.2116’E | 2 | |
| Total observed colonies | 18 | ||||
Prior to recording flight activities, we conducted bee behavior acclimatization until we obtained the normal flight activities. Four types of flight activities were observed: (1) the number of stingless bees flying out of the nest (FO), (2) the number of bees returning with pollen (RWP), (3) the number of bees returning without pollen (RWoP), and (4) the number of bees returning with resin (RWR). Each flight activity was observed using a scan sampling method every 10 minutes with 10 minutes intervals from 8 am−3 pm (Martin & Batteson, 1993) All observations were conducted with three replications of each colony in the fragmented forest, rubber plantation, and shrub habitats with high, medium, and low surrounding forest coverage in each habitat. The environmental parameters included temperature, humidity, and light intensity, measured every 10 minutes during the flight activity observations. We used a thermo-hygrometer for temperature and humidity measurement and a lux meter for light intensity measurement. Direct observation was conducted to study the flight direction (FD) every 10 minutes (Peng et al., 2021).
Pollen collection and analysis
Bee pollen was collected from the hind tibia of T. laeviceps (five bees from each colony) to explore the pollen resources. We also collected the flowering plants around the stingless bee nest that will be used as the reference for the pollen collected by the returning bees. Bee pollen acetolyses were conducted based on (Erdtman, 1972) to remove the exin layer from pollen to observe the shape of the pollen. Pollen type was identified based on the polar and equatorial structure using the database of Australian pollen and spore atlas (University, 2018).
Identification of flowering plants around the T. laeviceps nest
We identified the flowering plants surrounding the T. laeviceps nests in the fragmented forest, rubber plantation, and shrubs habitat with three different coverage levels, which were based on the flight directions of the bees. The flower collections used a 20 x 20 m2 plot in 300 meters starting from the bee nest. We determined the widely distributed plants found at least at four observation sites.
Data analysis
The effects of temperature, humidity, and light intensity on the four flight activities of T. laeviceps were analyzed using general linear models (GLM) with a Gaussian distribution. This analysis was performed using R(Team, 2019).
RESULTS
Correlation of flight activity of T. laeviceps with environmental factors in three different habitats
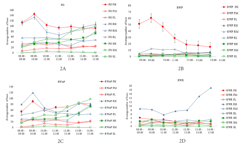
Observation of T. laeviceps flight activities showed diverse responses in the three different habitats. In the fragmented forest with high coverage, the highest number of flying out (FO) and returning bees with pollen (RWP) was 144 (Fig. 2a)Figure 2. and 60 individuals (Figure 2B)Figure 2., respectively. In the rubber plantation with high coverage, the highest number of RWoP (Figure 2C) Figure 2and RWR (Figure 2D)Figure 2 were 120 and 19 individuals, respectively. The lowest number of FO, RWP, and RWoP were in the shrub with low coverage, i.e., 4, 1, and 4 individuals, respectively (Figure 2A, 2B & 2C)Figure 2, and no flight activity of RWR in this habitat (Fig. 2D)Figure 2.The generalized Linear Model (GLM) of flight activities and environmental factors mostly correlated with temperature and humidity (Table 2a, b, & c)Table 2. We found that the highest flight activity of flying out (FO) and pollen-returning bees (RWP) in the fragmented forest with high coverage was affected by temperature, humidity, and light intensity (p = 0.001) (Table 2a)Figure 2. During the highest flight activity, we recorded the range of temperature, humidity, and light intensity were 26oC−32oC, 43%−69%, and 220 lux−1598 lux. In medium-coverage fragmented forests, all flight activities of T. laeviceps were consistently affected only by humidity (FO and RWP bees; p = 0.001 & RWoP and RWR bees; p = 0.01) (Table 2a)Table 2. In contrast, the flying-out bees (FO) and returning without-pollen bees (RWoP) in the fragmented forest with low coverage were affected by all environmental factors (Table 2a)Table 2.The generalized Linear Model (GLM) of flight activities and environmental factors mostly correlated with temperature and humidity (Table 2a, b, & c)Table 2. We found that the highest flight activity of flying out (FO) and pollen-returning bees (RWP) in the fragmented forest with high coverage was affected by temperature, humidity, and light intensity (p = 0.001) (Table 2a)Table 2. During the highest flight activity, we recorded the range of temperature, humidity, and light intensity were 26oC−32oC, 43%−69%, and 220 lux−1598 lux. In medium-coverage fragmented forests, all flight activities of T. laeviceps were consistently affected only by humidity (FO and RWP bees; p = 0.001 & RWoP and RWR bees; p = 0.01) (Table 2a)Table 2. In contrast, the flying-out bees (FO) and returning without-pollen bees (RWoP) in the fragmented forest with low coverage were affected by all environmental factors (Table 2a)Table 2.All flight activities except returning bees with pollen (RWP) in the rubber plantation with high coverage were affected by all the environmental factors (p = 0.001) (Table 2b)Table 2. During the highest resin collection of the bees in the rubber plantation high coverage, we found that the range temperature, humidity, and light intensity were recorded at 28oC−35oC, 38%−70%, 7631 lux−20768 lux. All environmental factors also affected the flying out (FO; p = 0.01) and returning bees without pollen (RWoP; p = 0.001) in low forest coverage of rubber plantations (Table 2b)Table 2.
In the shrub with high coverage, the flying out (FO) and returning bees without pollen bees (RWoP) were affected by temperature and humidity (Table 2c)Table 2. In the shrub with medium coverage, all the environmental factors affected these types of flight activities, while the returning bees with pollen (RWP) were only affected by temperature. All environmental factors in this habitat with low coverage only affected the flying-out bees (FO, Table 2c.)Table 2., and no bees were returned with pollen and resin (Fig. 2b, 2c)Figure 2 In this habitat, high temperatures, i.e., 31oC−43oC, might affect the low number of bee flight activities (Fig. 2a)Figure 2.
Figure 2.The average number of four flight activities of Tetragonula laeviceps.
Flight direction of Tetragonula laeviceps in the fragmented forest, rubber plantation, and shrub
Based on our observation, T. laeviceps generally flew in the same directionTable 3. In the fragmented forest with high and medium coverage, we observed two flight directions for the two colonies, i.e., east and southeast, south and southeast, respectively. In contrast, the low coverage showed only one flight direction to the northeastTable 3.
Flight direction in the fragmented forest habitat was varied compared to rubber plantation habitats. The two colonies of T. laeviceps in the rubber plantation with high and medium coverage showed one flight direction, i.e., northeast and southeast. Furthermore, we observed different flight directions of the two bee colonies in the low coverage of the rubber plantation, i.e., northeast and northwestTable 3. However, in the medium coverage, we found different flight directions, i.e., south and southwest for the first colony and one flight direction to the southeast for the second colonyTable 3. The two colonies of bees in the shrub with high coverage have one different flight direction, i.e., west and southeast, respectively; the low coverage showed only one northeast bee flight direction for both colonies.
Pollen analysis and identification from the hind tibia of T. laeviceps
| a. Fragmented forest | |||||||
|---|---|---|---|---|---|---|---|
| Activity | Coverage levels | Temperature | Humidity | Light Intensity | |||
| Estimate | P | Estimate | P | Estimate | P | ||
| FO | High coverage (FH) | 5.067 x 10−2 | 0.001 | 1.348 x 102 | 0.001 | 2.589 x 10−4 | 0.001 |
| RWP | 1.568 x 10−1 | 0.001 | 4.060 x 102 | 0.001 | 6.750 x 10−4 | 0.001 | |
| RWoP | 1.056 x 102 | 1 | 2.390 x 10−3 | 1 | 6.638 x 10−5 | 0.5 | |
| RWR | 1.274 x 10−1 | 0.001 | 2.883 x 102 | 0.01 | 2.653 x 10−4 | 1 | |
| FO | Medium coverage (FM) | 3.320 x 102 | 0.001 | 1.134 x 10−2 | 0.001 | 3.447 x 10−6 | 1 |
| RWP | 9.734 x 102 | 0.001 | 3.359 x 10−2 | 0.001 | 1.008 x 105 | 0.5 | |
| RWoP | 2.566 x 102 | 0.5 | 9.502 x 10−3 | 0.01 | 8.555 x 10−6 | 0.5 | |
| RWR | 7.840 x 10−2 | 0.5 | 2.477 x 102 | 0.01 | 1.120 x 10−5 | 1 | |
| FO | Low coverage (FL) | 7.171 x 102 | 0.001 | 1.343 x 10−3 | 0.001 | 6.24 x 10−5 | 0.01 |
| RWP | 1.268 x 102 | 0.5 | 8.277 x 10−4 | 1 | 1.416 x 10−4 | 0.5 | |
| RWoP | 5.215 x 102 | 0.01 | 1.534 x 10−3 | 0.001 | 1.092 x 10−4 | 0.001 | |
| RWR | 1.014 x 101 | 1 | 2.422 x 10−4 | 1 | 1.620 x 104 | 0.5 | |
| b. Rubber plantation | |||||||
| Activity | Coverage levels | Temperature | Humidity | Light Intensity | |||
| Estimate | P | Estimate | P | Estimate | P | ||
| FO | High coverage (RH) | 3.082 x 10−2 | 0.001 | 7.374 x 103 | 0.001 | 3.588 x 10−5 | 0.001 |
| RWP | 5.026 x 102 | 0.5 | 1.328 x 10−2 | 0.5 | 8.750 x 10−6 | 1 | |
| RWoP | 3.368 x 10−2 | 0.001 | 8.004 x 103 | 0.001 | 3.637 x 10−5 | 0.001 | |
| RWR | 6.236 x 102 | 0.001 | 1.831 x 10−2 | 0.001 | 3.366 x 10−5 | 0.01 | |
| FO | Medium coverage (RM) | 7.390 x 10−3 | 1 | 4.811 x 103 | 0.01 | 3.755 x 10−6 | 1 |
| RWP | 2.072 x 103 | 1 | 2.191 x 10−3 | 1 | 2.048 x 105 | 1 | |
| RWoP | 4.246 x 103 | 1 | 4.595 x 10−4 | 1 | 2.823 x 10−6 | 1 | |
| RWR | 4.316 x 102 | 0.5 | 1.245 x 10−2 | 1 | 7.262 x 106 | 1 | |
| FO | Low coverage (RL) | 1.376 x 102 | 0.01 | 6.797 x 10−3 | 0.001 | 5.099 x 106 | 0.01 |
| RWP | 1.131 x 10−2 | 1 | 2.571 x 103 | 1 | 1.543 x 10−6 | 1 | |
| RWoP | 3.322 x 102 | 0.001 | 1.324 x 10−2 | 0.001 | 1.156 x 105 | 0.001 | |
| RWR | 1.592 x 10−1 | 0.1 | 5.534 x 102 | 0.5 | 7.890 x 10−5 | 0.1 | |
| c. Shrub | |||||||
| Activity | Coverage levels | Temperature | Humidity | Light Intensity | |||
| Estimate | P | Estimate | P | Estimate | P | ||
| FO | High coverage (SH) | 4.328 x 102 | 0.001 | 1.598 x 10−2 | 0.001 | 5.049 x 10−6 | 0.1 |
| RWP | 6.252 x 102 | 0.5 | 2.209 x 10−2 | 0.5 | 1.898 x 105 | 1 | |
| RWoP | 4.620 x 102 | 0.001 | 1.733 x 10−2 | 0.001 | 6.395 x 10−6 | 0.5 | |
| RWR | 2.773 x 102 | 1 | 1.414 x 10−3 | 1 | 7.356 x 10−6 | 1 | |
| FO | Medium coverage (SM) | 1.102 x 101 | 0.001 | 3.973 x 10−2 | 0.001 | 2.576 x 105 | 0.001 |
| RWP | 7.502 x 102 | 0.01 | 2.093 x 10−2 | 0.5 | 1.553 x 105 | 1 | |
| RWoP | 1.234 x 101 | 0.001 | 4.493 x 10−2 | 0.001 | 3.034 x 105 | 0.001 | |
| RWR | 2.313 x 10−3 | 1 | 3.168 x 10−3 | 1 | 1.864 x 10−5 | 1 | |
| FO | Low coverage (SL) | 6.308 x 102 | 0.01 | 3.465 x 10−2 | 0.001 | 4.155 x 105 | 0.001 |
| RWP | 7.932 x 102 | 1 | 6.163 x 10−2 | 1 | 7.716 x 105 | 1 | |
| RwoP | 4.427 x 102 | 0.1 | 2.255 x 10−2 | 0.5 | 3.338 x 105 | 0.01 | |
| RWR | 8.368 x 10−16 | 1 | 4.212 x 1016 | 1 | 3.322 x 1019 | 1 | |
Based on the acetolyses and pollen identification from the hind tibia of T. laeviceps, we observed that seven individuals of T. laeviceps collected pollen froma single pollen type. Tetragonula laeviceps collected pollen 100% from Hevea brasiliensis in the high coverage fragmented forests and rubber plantation with high and low coverageTable 4. This phenomenon was supported by the flight direction of T. laevicepsTable 3, that the bees fly toward the blooming flowers in the rubber plantation. In the fragmented forest with medium coverage, the bees collected various pollen that belongs to the families of Euphorbiaceae, Rubiaceae, and CapparaceaeTable 4.While in the low coverage the bees collected pollen from EuphorbiaceaeTable 4. In the shrub habitat, the number of RWP bees was very low and the bee pollen cannot be collected. Thus, the pollen composition could not be determined.
The analysis of pollen collected by T. laeviceps also found that each individual carried a single pollen speciesFigure 3Table 4. Tetragonula laeviceps mostly collected pollen in the time interval of 10 am−12 pmTable 4, while in the rubber plantation with high coverage was observed from 8 am−10 am. In the fragmented forest with low coverage, the time interval of T. laeviceps to collect the pollen was from 10 am−3 pmTable 4 and was shown by the different types of pollen from several habitatsFigure 3Table 4.
Flowering plants surrounding the nest of T. laeviceps in three different habitats
Based on the flight direction of the bees, we found 32 flowering plants around the nest of T. laeviceps that comprised 19 familiesTable 5. The pollen from Rubiaceae and Euphorbiaceae families was collected in the hind tibia of the returning beesTable 4Table 5. Eight species of flowering plants around the nest were found in more than four sites in all habitatsFigure 4 i.e., Clidemia hirta, Clibadium surinamensis, Melastomama labathrichum, Urena lobata, Stachytarpheta indica, Solanum jamaicense, Lantana camara, and Mussaenda frondose.
DISCUSSION
Among all habitats, the fragmented forests with high coverage had the highest flight activities of FOFigure 2 (Figure 2A) and RWPFigure 2 (Figure 2b). This finding indicates that the abundance of stingless bees is closely linked to forest coverage and plant abundance(Brosi, 2009)(Buchori et al., 2019).FO, RWP, and RWoP activities in the fragmented forest were affected by all environmental factors, i.e., temperature (26–32 °C), humidity (43–67%) and light intensity (220–1598 lux) (Table 1A)Table 1. This result is similar to the flight activities of Melipona subnitida Ducke in the Brazilian dry forest, where pollen foraging mainly occurred at temperatures between 22 °C and 34 °C and humidity between 50% and 65% (Maia-Silva et al., 2015).
| Habitat | Coverage levels | Site | Colony | Flight direction | |
|---|---|---|---|---|---|
| Direction 1 | Direction 2 | ||||
| Fragmented forest | High coverage (FH) | F28 | 1 | E | SE |
| 2 | E | SE | |||
| Medium coverage (FM) | F26 | 1 | S | SE | |
| 2 | S | SE | |||
| Low coverage (FL) | F08 | 1 | NE | − | |
| 2 | NE | − | |||
| Rubber plantation | High coverage (FH) | R05 | 1 | NE | − |
| 2 | NE | − | |||
| Medium coverage (FM) | R07 | 1 | SE | − | |
| 2 | SE | − | |||
| Low coverage (FL) | R01 | 1 | NE | − | |
| 2 | NW | − | |||
| Shrub | High coverage (FH) | S07 | 1 | W | − |
| 2 | SE | − | |||
| Medium coverage (FM) | S28 | 1 | S | SW | |
| 2 | SE | − | |||
| Low coverage (FL) | S24 | 1 | NE | − | |
| 2 | NE | − | |||
| No. of bee pollen samples | Habitat and coverage levels | Family/Spesies | Percentage (%) | Time interval | ||
|---|---|---|---|---|---|---|
| 08.00 - 10.00 | 10.00 - 12.00 | 12.00 - 15.00 | ||||
| 1 | FH | Euphorbiaceae/H. brasiliensis | 100 | √ | √ | − |
| 2 | FH | Euphorbiaceae/H. brasiliensis | 100 | − | √ | − |
| 3 | FM | Rubiaceae | 100 | − | √ | − |
| 4 | FM | Capparaceae/Maerua sp. | 100 | − | √ | − |
| 5 | FL | Euphorbiaceae | 100 | − | √ | √ |
| 6 | RH | Euphorbiaceae/H. brasiliensis | 100 | √ | − | − |
| 7 | RL | Euphorbiaceae/H. brasiliensis | 100 | √ | √ | − |
Figure 3.Pollen species identified from hind tibia of Tetragonula laeviceps. Black bar = 1 mm.
| Family | Species | Habitat | Number of existence | ||||||||
|---|---|---|---|---|---|---|---|---|---|---|---|
| Fragmented forest | Rubber plantation | Shrub | |||||||||
| Coverage levels | Coverage levels | Coverage levels | |||||||||
| High | Medium | Low | High | Medium | Low | High | Medium | Low | |||
| Fabaceae | Centrosema pubescens | √ | − | − | − | − | − | − | √ | − | 2 |
| Fabaceae | Mimosa pudica | − | − | − | − | − | √ | √ | √ | − | 3 |
| Fabaceae | Saraca sp. | − | √ | − | − | − | − | − | − | − | 1 |
| Fabaceae | Derris sp | − | √ | − | − | − | − | − | − | − | 1 |
| Fabaceae | Species 1 | − | − | − | − | − | − | − | √ | − | 1 |
| Asteraceae | Ageratum conyzoides | − | − | − | √ | − | √ | √ | − | − | 3 |
| Asteraceae | Chromolaena odorata | √ | − | − | − | − | − | √ | √ | − | 3 |
| Asteraceae | Clinadium surinamense | − | − | √ | √ | √ | √ | − | √ | √ | 6 |
| Asteraceae | Mikania micrantha | − | − | − | − | − | √ | √ | − | − | 2 |
| Verbenaceae | Lantana camara | − | − | − | √ | − | √ | √ | − | √ | 4 |
| Verbenaceae | Stachytarpheta indica | − | − | − | √ | − | √ | √ | √ | − | 4 |
| Verbenaceae | Stachytarpheta jamaicensis | − | − | − | − | √ | − | − | √ | − | 2 |
| Melastomataceae | Clidemia hirta | √ | − | √ | √ | √ | √ | √ | − | √ | 7 |
| Melastomataceae | Melastoma malabathrichum | √ | − | √ | √ | √ | √ | √ | √ | √ | 8 |
| Zingiberaceae | Boesenbergia sp. | − | − | √ | − | − | − | − | − | − | 1 |
| Zingiberaceae | Globba pendula | − | − | − | − | − | − | √ | − | − | 1 |
| Rubiaceae | Mussaenda frondosa | √ | − | − | √ | √ | − | √ | − | √ | 5 |
| Rubiaceae | Psychotria sp | − | √ | √ | − | − | − | √ | − | − | 3 |
| Acanthaceae | Asystasia gangetica | − | − | − | √ | − | √ | √ | − | − | 3 |
| Apocynaceae | Tabernaemontana pauciflora | − | − | − | − | √ | √ | − | − | − | 2 |
| Cleomaceae | Cleome rutidosperma | − | − | − | − | − | √ | − | − | − | 1 |
| Cucurbitaceae | Species 2 | − | − | − | − | − | √ | − | − | − | 1 |
| Euphorbiaceae | Hevea brasiliensis | √ | − | − | − | − | √ | − | − | − | 2 |
| Lythraceae | Cuphea carthagenensis | − | − | − | − | − | √ | − | − | − | 1 |
| Malvaceae | Urena lobata | − | − | − | √ | − | √ | √ | √ | − | 4 |
| Linderniaceae | Lindernia crustacea | − | − | − | − | − | √ | − | − | − | 1 |
| Oxalidaceae | Oxalis barrelieri | − | − | − | − | − | √ | − | − | − | 1 |
| Passifloraceae | Passiflora foetida | − | − | − | − | − | − | √ | − | − | 1 |
| Polygalaceae | Polygala paniculata | − | − | − | − | − | √ | − | − | − | 1 |
| Solanaceae | Solanum jamaicense | √ | − | − | √ | − | √ | √ | − | − | 4 |
| Simaroubaceae | Eurycoma longifolia | − | √ | − | − | − | − | − | − | − | 1 |
| Oleaceae | Jasminum multiflorum | − | − | − | − | − | − | − | √ | − | 1 |
| Total observed of flowering plants | 7 | 4 | 5 | 10 | 6 | 19 | 15 | 10 | 5 | 81 | |
Figure 4.Flowering plants around the nest of Tetragonula laeviceps in three different habitats. √: pollen available. A: Clidemia hirta; B: Clibadium surinamensis, C: Melastoma malabathrichum; D: Urena lobata; F: Stachytarpheta indica; G: Solanum jamaicense; H: Lantana camara; and H: Mussaenda frondosa (pollen not available). Black bar = 10 μm
The flight activities of T. laeviceps and pollen collection were highest in the fragmented forest. Interestingly, we found a partition peak of time between pollen collection in the morning 09 am−10 am (Figure 2B) Figure 2 and resin collection in the afternoon 2 pm−3 pm (Figure 2D)Figure 2. Stingless bee Meliponina bicolor Lepeletier at Cunha, Atlantic Forest, Brazil, showed a similar pattern of pollen collection in the morning and resin collection in the afternoon(Hilario et al., 2000), and T. laeviceps at musk melon flower Gujarat, India (Gadhiya & Pastagia, 2019). The circadian clock of flower affects pollen collecting activity of insects (Bloch et al., 2017) . Observation of foraging behavior in honeybee Apis mellifera and bumblebee Bombus lantschouensis Vogt at the solar greenhouse in China revealed that pollen-collecting activity increased as the increasing of dehisced anthers followed by pollen release (Zhang et al., 2019) . They also found that the number of dehisced anthers in the solar greenhouse peaked at 11:00 h to 14:00 h, in parallel with increasing temperature and decreasing relative humidity (Zhang et al., 2019) . Thus, the peak of flight activities in T. laeviceps might be influenced by the nectar secretion of the surrounding flowers as their flower reward (Bloch et al., 2017). Research on the nectar secretion dynamics at the major honey plants, i.e., Acacia sp., Lamiaceae, and Ziziphus sp. in Saudi Arabia, showed an increasing trend in the early morning toward midday (Adgaba et al., 2017) .
Overall, in the fragmented forest and rubber plantation habitat, we found that 4 individuals of 7 T. laeviceps collected pollen only from H. brasiliensis (Family Euphorbiaceae), while three other individuals also collected a single pollen type from Rubiaceae, Caparacae, and Euphorbiaceae families, respectivelyTable 4. As predicted, the pollen collected by bees in the fragmented forest was more diverse than the other land usesTable 4. A single type of H. brasiliensis pollen was collected by the bees in rubber plantationsTable 4, supported by (Heard, 1999), who found stingless bees usually forage in one plant species in each bout. It is presumably due to the blooming season; rubber plantations could supply adequate pollen resources for the stingless bees.
Our study supported that converting land into monoculture resulted in a decreasing diversity of flowering plants. It was indicated by the low number of pollen species collected by bees, half of which is the H. brasiliensis pollenTable 4. This research was carried out during July-September, which is the rubber flowering period in Jambi. This period is similar to the H. brasiliensis flowering in Bogor, Java, Indonesia (Madjid et al., 1976). Therefore, other plants should be available for sustaining pollen resources for bees during the non-flowering rubber season.
CONCLUSIONS
Land transformation and forest coverage affected the patterns of flight activities and pollen resources of T. laeviceps and resin. The highest flight activities were in the fragmented forest, and the lowest was found in the shrub habitat with almost no activity. Temperature and humidity significantly affected the flight activities of T. laeviceps in all habitats. We found that T. laeviceps brought one plant species, H. brasiliensis, pollen, to the nest in each foraging trip. Mass-flowering rubber trees thus strongly affect the food resources of T. laeviceps in our study region. The conversion of lowland tropical forests into rubber monocultures reduce the activity and pollen collecting of stingless bees, which may have important consequences for bee fitness and plant-pollinator interactions. In the future, the growth of stingless bee colonies should be examined over a longer period within the land transformation. Thus, we can understand the survival rate of the bee colonies.
References
- Adgaba N., Al-Ghamdi A., Tadesse Y., Getachew A., Awad A.M., Ansari M.J., Owayss A.A., Mohammed S.E.A., Alqarni A.S.. Nectar secretion dynamics and honey production potentials of some major honey plants in Saudi Arabia. Saudi Journal of Biological Sciences. 2017; 24:180-191. DOI
- University Australian National. Australasian Pollen and Spore Atlas. 2018. Publisher Full Text
- Barnes A.D., Jochum M., Mumme S., Haneda N.F., Farajallah A., Widarto T.H., Brose U.. Consequences of tropical land use for multitrophic biodiversity and ecosystem functioning. Nature Communications. 2014; 5351:1-7. DOI
- Basari N., Ramli S.N., Khairi N.A.S.M.. Food reward and distance influence the foraging pattern of stingless bee, Heterotrigona itama. Insect. 2018; 9:1-10. DOI
- Bates D., Machler M., Bolker B.M., Walker S.C.. Fitting linear mixed-effects models using lme4. Journal of Statistical Software. 2014; 67:1-48. DOI
- Bloch G., Bar-Shai N., Cytter Y., Green R.. Time is honey: Circadian clocks of bees and flowers and how their interactions may infuence ecological communities. Philosophical Transactions of the Royal Society. B. 2017; 372(20160256)DOI
- Brandenburg A., Dell’Olivo A., Bshary R., Kuhlemeier. The sweetest thing advances in nectar research. Plant Biology. 2009; 12:486-490. DOI
- Buchori D., Rizali A., Priawandiputra W., Sartiami D., Johannis M.. Popultion growth and insecticide residue of honey bees in tropical agricultural landscapes. Diversity. 2019; 12:1-9. DOI
- Brosi B.J.. the complex responses of social stingless bees (Apidae: Meliponini) to tropical deforestation. Forest Ecology and Management. 2009; 258:1830-1837. DOI
- Dirzo R., Raven P.H.. Global state of biodiversity and loss. The Annual Review of Environment and Resources. 2003; 28:137-67. DOI
- Drescher J., Rembold K., Allen K., Beckschafer P., Buchori D., Clough Y., Faust H., Fauzi A.M., Gunawan D., Hertel D., Irawan B., Jaya I.N.S., Klarner B., Kleinn C., Knohl A., Kotowska M.M., Krashevska V., Krishna V., Leuschner C., Lorenz W., Meijide A., Melati D., Nomura M., Cruzado C.P., Qaim M., Siregar I.Z., Steinebach S., Tjoa A., Tscharntke T., Wick B., Wiegand K., Kreft H., Scheu S.. Ecological and socio-economic functions across tropical land use systems after rainforest conversion. Philosophical Transactions of The Royal Society. B. 2016; 371:1-8. DOI
- Erdtman G.. Hafner Publishing: New York (USA; 1972.
- Gadhiya V.C., Pastagia J.J.. Time spent by stingless bees, Tetragonula laeviceps for nectar and pollen collection from musk melon flower. Journal of Entomology and Zoology Studies. 2019; 7:498-500.
- Hrncir M., Silva C.M., Teixeira-Souza V.H.D.S., Imperatriz-Fonseca V.L.. Stingless bee and their adaptations to extreme environments. Journal of Comparative Physiology. 2019; 205:415-426. DOI
- Heard T.A.. The role of stingless bees in crop pollination. Annual Review of Entomology. 1999; 44:183-206. DOI
- Hilario S.D., Imperatriz F.V.I., M. P Kleinert A.. Flight activity and colony strength in the stingless bee Melipona bicolor bicolor (Apidae: Meliponinae. Revista Brasileira de Biologia. 2000; 60:299-306. DOI
- Jaapar M.F., Nasarodin N.S., Reward N.F., Jajuli R., Ghani I.A.. Notes on resin collected by stingless bees in Taman Tropika Tasik Kenyir. 2018.
- Kahono S., Chantawannakul P., Engel M.S.. Asian Beekeeping in the 21st Century. Springer Nature Singapore Pte Ltd: Springer Nature Singapore Pte Ltd; 2018:287-306. DOI
- Kaluza B.F., Wallace H., Heard T.A., Klein A.M., Leonhardt S.D.. Urban garden promote bee foraging over natural habitats and plantations. Ecology and Evolution. 2015; 6:1304-1316. DOI
- Kevan P.G.. Pollinators as bioindicators of the state of the environment: species, activity and diversity. Agriculture, Ecosystems & Environment. 1999; 74:373-393. DOI
- Klein A.M., Vaissiere B.E., Cane J.H., Dewenter I.S., Cunningham S.A., Kremen C., Tscharntke T.. Importance of pollinators in changing landscapes for world crops. Proceedings of the Royal Society B: Biological Sciences. 274:303–313. 2007. DOI
- Maia-Silva C., Hrncir M., Silva C.I., Imperatriz-Fonseca V.L.. Survival strategies of stingless bees (Melipona subnitida) in an unpredictable environment, the Brazilian tropical dry forest. Apidoslogie. 2015; 46:631-643. DOI
- Madjid A., Maslichah Saleh D., Bunyamin. Experiment of flower induction in Hevea rubber. Symposium of the International Rubber Research and Development Board. 1976.
- Martin P., Batteson P.. Measuring Behaviour an Introductory Guide. 1993. DOI
- Martins D.J.. Foraging patterns of managed honeybees and wild bee species in an arid African environment: Ecology, biodiversity and competition. International Journal of Tropical Insect Science. 2004; 24:105-115. DOI
- Mudiyarso D., Van Noordwijk M., Wasrin U.R., Tomich T.P., Gillison A.N.. Environmental benefits and sustainable land-use options in the Jambi transect, Sumatra. Journal of Vegetation Science. 2002; 13:429-438. DOI
- Nurwanda A., Zain A.F.M., Rustiadi E.. Analysis of land cover changes and landscape fragmenta-tion in Batanghari regency, Jambi Province. Procedia-Social and Behavioral Sciences. 2016; 227:87-94. DOI
- Peng T., Pedrosa J., Batista J.E., Nascimento F.S., Gruter C.. Foragers of the stingles bee Pleibeia droryana inform nestmates about the direction, but not the distance to food source. Ecological Entomology. 2021; 46:33-40. DOI
- Putra D.P., Dahelmi Salmah, SSwasti M.E.. Pollination in chili papper (Capsium annuum L.) by Trigona laeviceps and T. minangkabau (Hymenoptera, Meliponini. Journal of Entomology and Zoology. 2016; 4:191-194.
- Team R.Core. R: A language and environment for statistical computing. R Foundation for Statistical Computing. 2019. Publisher Full Text
- Ramadani R.F., Raffiudin R., Ariyanti N.S., Biagioni S., Treanore E., Behling H.. Stingless bee foraging behavior and pollen resource use in oil palm and rubber plantations in Sumatra. Jurnal Entomologi Indonesia. 2021; 18:81-92. DOI
- Rasmussen C.. Catalog of the Indo-Malayan/Australasian stingless bees. 2008. DOI
- Rembold K., Mangopo H., Tjitrosoedirdjo S.S., Kreft H.. Plant diversity, forest depency, and alien plant invasions in tropical agricultural landscapes. Biological Conservation. 2017; 213:234-242. DOI
- Ricketts T.H., Regetz J., Dewenter I.S., Cunningham S.A., Kremen C., Bogdanski A., Herren B.G., Greenleaf S.S., Klein A.M., Mayfield M.M., Morandin L.A., Ochieng A., Vianna B.F.. Landscape effects on crop pollination services: are there general patterns?. Ecology Letters. 2008; 11:499-515. DOI
- Rivano F., Vera J., Cevallos V., Almeida D., Maldonado L., Flori A.. Performance of 10 Hevea brasiliensis clones in Ecuador, under South American leaf blight escape conditions. Industrial Crops and Products. 2016; 94:762-773. DOI
- Schulze C.H., Waltert M., Kessler P.J.A., Pitopang R., Shahabuddin Veddeler, D Muhlenberg, M Gradstein, Leuschner C., Dewenter I.S., Tscharntke T.. Biodiversity indicator groups of tropical land-use systems: comparing plants, birds, and insects. Ecological Applications. 2004; 14(1321)DOI
- Siregar E.H., Atmowidi T., Kahono S.. Diversity and abundance of insect pollinators in different agricultural lands in Jambi, Sumatera. HAYATI Journal of Biosciences. 2016; 23:13-17. DOI
- Zhang H., Zhou Z., An J.. Pollen release dynamics and daily patterns of pollen-collecting activity of honeybee Apis mellifera and bumblebee Bombus lantschouensis in solar greenhouse. Insects. 2019; 10(216)DOI
Adgaba N, Al-Ghamdi A, Tadesse Y, Getachew A, Awad AM, Ansari MJ, Owayss AA, Mohammed SEA, Alqarni AS. 2017. Nectar secretion dynamics and honey production potentials of some major honey plants in Saudi Arabia. Saudi Journal of Biological Sciences. 24:180–191. DOI: https://doi.org/10.1016/j.sjbs.2016.05.002.
Australian National University. 2018. Australasian Pollen and Spore Atlas. Available at: http://apsa.anu.edu.au/. [access September 2018].
Barnes AD, Jochum M, Mumme S, Haneda NF, Farajallah A, Widarto TH, Brose U. 2014. Consequences of tropical land use for multitrophic biodiversity and ecosystem functioning. Nature Communications. 5-5351:1–7. DOI: https://doi.org/10.1038/ncomms6351.
Basari N, Ramli SN, Khairi NASM. 2018. Food reward and distance influence the foraging pattern of stingless bee, Heterotrigona itama. Insect. 9:1–10. DOI: https://doi.org/10.20944/preprints201807.0036.v1.
Bates D, Machler M, Bolker BM, Walker SC. 2014. Fitting linear mixed-effects models using lme4. Journal of Statistical Software. 67:1–48. DOI: https://doi.org/10.18637/jss.v067.i01.
Bloch G, Bar-Shai N, Cytter Y, Green R. 2017. Time is honey: Circadian clocks of bees and flowers and how their interactions may infuence ecological communities. Philosophical Transactions of the Royal Society. B 372:20160256. DOI: https://doi.org/10.1098/rstb.2016.0256.
Brandenburg A, Dell’Olivo A, Bshary R, and Kuhlemeier . 2009. The sweetest thing advances in nectar research. Plant Biology. 12:486–490. DOI: https://doi.org/10.1016/j.pbi.2009.04.002.
Buchori D, Rizali A, Priawandiputra W, Sartiami D, Johannis M. 2019. Popultion growth and insecticide residue of honey bees in tropical agricultural landscapes. Diversity. 12:1–9. DOI: https://doi.org/10.3390/d12010001.
Brosi BJ. 2009. the complex responses of social stingless bees (Apidae: Meliponini) to tropical deforestation. Forest Ecology and Management. 258:1830–1837. DOI: https://doi.org/10.1016/j.foreco.2009.02.025.
Dirzo R, Raven PH. 2003. Global state of biodiversity and loss. The Annual Review of Environment and Resources. 28:137–67. DOI: https://doi.org/10.1146/annurev.energy.28.050302.105532.
Drescher J, Rembold K, Allen K, Beckschafer P, Buchori D, Clough Y, Faust H, Fauzi AM, Gunawan D, Hertel D, Irawan B, Jaya INS, Klarner B, Kleinn C, Knohl A, Kotowska MM, Krashevska V, Krishna V, Leuschner C, Lorenz W, Meijide A, Melati D, Nomura M, Cruzado CP, Qaim M, Siregar IZ, Steinebach S, Tjoa A, Tscharntke T, Wick B, Wiegand K, Kreft H, Scheu S. 2016. Ecological and socio-economic functions across tropical land use systems after rainforest conversion. Philosophical Transactions of The Royal Society. B 371:1–8. DOI: https://doi.org/10.1098/rstb.2015.0275.
Erdtman G. 1972. Pollen Morphology and plant Taxonomy. New York (USA): Hafner Publishing.
Gadhiya VC, Pastagia JJ. 2019 Time spent by stingless bees, Tetragonula laeviceps for nectar and pollen collection from musk melon flower. Journal of Entomology and Zoology Studies. 7:498–500.
Hrncir M, Silva CM, Teixeira-Souza VHDS, Imperatriz-Fonseca VL. 2019. Stingless bee and their adaptations to extreme environments. Journal of Comparative Physiology. 205:415–426. DOI: https://doi.org/10.1007/s00359-019-01327-3.
Heard TA. 1999. The role of stingless bees in crop pollination. Annual Review of Entomology. 44:183–206. DOI: https://doi.org/10.1146/annurev.ento.44.1.183.
Hilario SD, Imperatriz FVI, Kleinert A de M. P. 2000. Flight activity and colony strength in the stingless bee Melipona bicolor bicolor (Apidae: Meliponinae). Revista Brasileira de Biologia. 60:299–306. DOI: https://doi.org/10.1590/S0034-71082000000200014.
Jaapar MF, Nasarodin NS, Reward NF, Jajuli R, Ghani IA. 2018. Notes on resin collected by stingless bees in Taman Tropika Tasik Kenyir, Terengganu, Malaysia. Serangga. 24:81–89.
Kahono S, Chantawannakul P, Engel MS. 2018. Social bees and the current status of beekeeping in Indonesia. In: Chantawannakul P, Williams G, Neumann P. (Eds.), Asian Beekeeping in the 21st Century. pp. 287–306. Singapura: Springer Nature Singapore Pte Ltd. DOI: https://doi.org/10.1007/978-981-10-8222-1_13.
Kaluza BF, Wallace H, Heard TA, Klein AM, Leonhardt SD. 2015. Urban garden promote bee foraging over natural habitats and plantations. Ecology and Evolution. 6:1304–1316. DOI: https://doi.org/10.1002/ece3.1941.
Kevan PG. 1999. Pollinators as bioindicators of the state of the environment: species, activity and diversity. Agriculture, Ecosystems & Environment. 74:373–393. DOI: https://doi.org/10.1016/S0167-8809(99)00044-4.
Klein AM, Vaissiere BE, Cane JH, Dewenter IS, Cunningham SA, Kremen C, and Tscharntke T. 2007. Importance of pollinators in changing landscapes for world crops. Proceedings of the Royal Society B: Biological Sciences. 274:303–313. DOI: https://doi.org/10.1098/rspb.2006.3721.
Maia-Silva C, Hrncir M, da Silva CI, Imperatriz-Fonseca VL. 2015. Survival strategies of stingless bees (Melipona subnitida) in an unpredictable environment, the Brazilian tropical dry forest. Apidoslogie. 46:631–643. DOI: https://doi.org/10.1007/s13592-015-0354-1.
Madjid A, Maslichah Saleh D, Bunyamin. 1976. Experiment of flower induction in Hevea rubber. In: Paper presented at the Symposium of the International Rubber Research and Development Board, (Bogor, 8–9 November 1976). Bogor: Indonesian Biotechnology Research Institute for Estate Crops.
Martin P, Batteson P. 1993. Measuring Behaviour an Introductory Guide. Second edition. Cambridge: Cambridge Univ Press. DOI: https://doi.org/10.1017/CBO9781139168342.
Martins DJ. 2004. Foraging patterns of managed honeybees and wild bee species in an arid African environment: Ecology, biodiversity and competition. International Journal of Tropical Insect Science. 24:105–115. DOI: https://doi.org/10.1079/IJT200411.
Mudiyarso D, Noordwijk M Van, Wasrin, UR, Tomich TP, Gillison AN. 2002. Environmental benefits and sustainable land-use options in the Jambi transect, Sumatra. Journal of Vegetation Science. 13:429–438. DOI: https://doi.org/10.1111/j.1654-1103.2002.tb02067.x.
Nurwanda A, Zain AFM, Rustiadi E. 2016. Analysis of land cover changes and landscape fragmenta-tion in Batanghari regency, Jambi Province. Procedia-Social and Behavioral Sciences. 227:87–94. DOI: https://doi.org/10.1016/j.sbspro.2016.06.047.
Peng T, Pedrosa J, Batista JE, Nascimento FS, Gruter C. 2021. Foragers of the stingles bee Pleibeia droryana inform nestmates about the direction, but not the distance to food source. Ecological Entomology. 46:33–40. DOI: https://doi.org/10.1111/een.12937.
Putra DP, Dahelmi, Salmah S, and Swasti ME. 2016. Pollination in chili papper (Capsium annuum L.) by Trigona laeviceps and T. minangkabau (Hymenoptera, Meliponini). Journal of Entomology and Zoology. 4:191–194.
R Core Team. 2019. R: A language and environment for statistical computing. R Foundation for Statistical Computing, Vienna, Austria. Available at: https://www.R-project.org/. [access September 2018].
Ramadani RF, Raffiudin R, Ariyanti NS, Biagioni S, Treanore E, Behling H. 2021. Stingless bee foraging behavior and pollen resource use in oil palm and rubber plantations in Sumatra. Jurnal Entomologi Indonesia. 18:81–92. DOI: https://doi.org/10.5994/jei.18.2.81.
Rasmussen C. 2008. Catalog of the Indo-Malayan/Australasian stingless bees (Hymenoptera: Apidae: Meliponini). New Zealand: Magnolia press. DOI: https://doi.org/10.11646/zootaxa.1935.1.1.
Rembold K, Mangopo H, Tjitrosoedirdjo SS, Kreft H. 2017. Plant diversity, forest depency, and alien plant invasions in tropical agricultural landscapes. Biological Conservation. 213:234–242. DOI: https://doi.org/10.1016/j.biocon.2017.07.020.
Ricketts TH, Regetz J, Dewenter IS, Cunningham SA, Kremen C, Bogdanski A, Herren BG, Greenleaf SS, Klein AM, Mayfield MM, Morandin LA, Ochieng A, Vianna BF. 2008. Landscape effects on crop pollination services: are there general patterns?. Ecology Letters. 11:499–515. DOI: https://doi.org/10.1111/j.1461-0248.2008.01157.x.
Rivano F, Vera J, Cevallos V, Almeida D, Maldonado L, Flori A. 2016. Performance of 10 Hevea brasiliensis clones in Ecuador, under South American leaf blight escape conditions. Industrial Crops and Products. 94:762–773. DOI: https://doi.org/10.1016/j.indcrop.2016.09.035.
Schulze CH, Waltert M, Kessler PJA, Pitopang R, Shahabuddin, Veddeler D, Muhlenberg M, Gradstein SR, Leuschner C, Dewenter IS, and Tscharntke T. 2004. Biodiversity indicator groups of tropical land-use systems: comparing plants, birds, and insects. Ecological Applications. 14:1321e33. DOI: https://doi.org/10.1890/02-5409.
Siregar EH, Atmowidi T, Kahono S. 2016. Diversity and abundance of insect pollinators in different agricultural lands in Jambi, Sumatera. HAYATI Journal of Biosciences. 23:13–17. DOI: https://doi.org/10.1016/j.hjb.2015.11.002.
Zhang H, Zhou Z, An J. 2019. Pollen release dynamics and daily patterns of pollen-collecting activity of honeybee Apis mellifera and bumblebee Bombus lantschouensis in solar greenhouse. Insects. 10:216. DOI: https://doi.org/10.3390/insects10070216.
Copyright (c) 2023 Zumaida Nur Pulungan, Windra Priawandiputra, Ingo Grass, Kevin Li, Rusnia J Robo, Rika Raffiudin

This work is licensed under a Creative Commons Attribution 4.0 International License.
Authors who publish with this journal agree to the following terms:
- Authors retain copyright and grant the journal right of first publication with the work simultaneously licensed under a Creative Commons Attribution 4.0 International License that allows others to share the work with an acknowledgement of the work's authorship and initial publication in this journal.
- Authors are able to enter into separate, additional contractual arrangements for the non-exclusive distribution of the journal's published version of the work (e.g., post it to an institutional repository or publish it in a book), with an acknowledgement of its initial publication in this journal.
- Authors are permitted and encouraged to post their work online (e.g., in institutional repositories or on their website) prior to and during the submission process, as it can lead to productive exchanges, as well as earlier and greater citation of published work (See The Effect of Open Access).









