Evaluasi toksisitas insektisida sintetik terhadap lebah Tetragonula laeviceps Smith: Ancaman bagi penyerbuk di pertanian
Toxicity evaluation of synthetic insecticides on Tetragonula laeviceps Smith: Threats to pollinators in agriculture
Downloads
Stingless bees (Tetragonula laeviceps Smith) play a crucial role as pollinators in agricultural ecosystems, but their populations are increasingly threatened by synthetic insecticide uses. This study aimed to evaluate the effects of five insecticides on T. laeviceps through topical, residual, and oral applications, both individually and in combination with the adjuvant Agristik 400 L (AG). The tested insecticides included indoxacarb, chlorfenapyr, indoxacarb + chlorfenapyr, flupyradifurone, and abamectin + acetamiprid. The results showed that all insecticides caused 100% mortality at the recommended concentrations. Flupyradifurone had the lowest LC50 values (0.35 ppm for topical application, 0.73 ppm for residual, and 0.94 ppm for oral), indicating the highest toxicity compared to other insecticides. The addition of adjuvants significantly increased insecticide toxicity, especially in residual and oral applications. Unwise insecticide use poses a serious risk to pollinator populations and agricultural ecosystems. Therefore, insecticide application should consider plant flowering phases to minimize its impact on bees, and sustainable pest management strategies should be promoted to ensure environmental balance and agricultural productivity.
Downloads
PENDAHULUAN
Penyerbuk memainkan peran penting dalam sistem pertanian, terutama dalam menjaga keseimbangan populasi tanaman dan memastikan produktivitasnya (Ssymank et al., 2008). Serangga penyerbuk berkontribusi sekitar 30% dari total nilai produksi pertanian tanaman tahunan di Brazil serta berperan penting dalam kelestarian spesies tanaman dan menjadi kunci produktivitas lahan (Klein et al., 2007); (IGAPI et al., 2020). Sekitar 35% dari produksi tanaman di dunia merupakan hasil dari proses penyerbukan yang dibantu oleh serangga (Bugin et al., 2022). Hubungan mutualistik antara penyerbuk dan tanaman, yaitu serangga akan mendapatkan makanan berupa nektar dan serbuk sari serta tanaman akan mendapatkan bantuan proses penyerbukan (Ssymank et al., 2008). Lebah merupakan serangga dengan potensi yang tinggi sebagai agens penyerbuk, selain kumbang, lalat, lebah, tawon, dan kupu-kupu (Fajarwati et al., 2009); (Leksikowati et al., 2018). Lebah madu Apis cerana Fabricius, A. mellifera Linnaeus, dan lebah tanpa sengat Tetragonula (Trigona) sp. mendominasi populasi serangga penyerbuk pada tanaman pertanian (Widhiono & Sudiana, 2015).
Tetragonula laeviceps Smith (Apidae: Meliponini) merupakan lebah tanpa sengat yang dapat dimanfaatkan sebagai agens penyerbuk di Indonesia. Penyerbukan terbuka pada tanaman mentimun, cabai, dan tomat dengan bantuan T. laeviceps dapat meningkatkan buah yang terbentuk (fruit set), biji yang terbentuk (seed set), kenormalan buah, panjang buah, diameter buah, dan bobot buah (Zidni, 2020); (Mubin et al., 2022). Proses penyerbukan buah dengan bantuan lebah pada tanaman mentimun dapat menghasilkan fruit set sebesar 53,93% buah, sedangkan pada penyerbukan dengan bantuan manusia menghasilkan 46,79% buah, dan penyerbukan dengan bantuan angin menghasilkan 11,43% buah dari seluruh bunga (Zidni et al., 2021). Hal ini menunjukkan bahwa proses penyerbukan tanaman dengan bantuan lebah dapat meningkatkan kualitas dan kuantitas buah.
Lebah merupakan kelompok serangga yang kehadirannya jarang diketahui ketika sedang mencari pakan di tanaman budi daya. Aplikasi insektisida yang dilakukan oleh petani seringkali melewatkan keberadaan dari lebah di lapangan. Hal ini dapat memicu pengurangan jumlah populasi lebah di lapangan karena terpajan pestisida (Herlinda & Sari, 2022). Aplikasi insektisida yang kurang bijaksana akan berdampak negatif pada produktivitas pertanian karena kurangnya bantuan dari penyerbuk (Ndakidemi et al., 2016), terlebih lagi 90% proses penyerbukan tanaman dibantu oleh lebah (Raderschall et al., 2021). Berkurangnya total penyerbuk dapat menurunkan produksi tanaman lebih dari 90% (Biodiversity et al., 2016).
Penggunaan pestisida di lapangan diduga memberikan dampak negatif pada lebah penyerbuk. Hal ini diduga menjadisalah satu penyebab adanya fenomena penurunan jumlah koloni secara mendadak atau colony collapsedisorder (CCD) terjadi di Eropa dan Amerika Serikat. Berbagai faktor yang dapat memengaruhi fenomena tersebut, termasuk di antaranya penyakit dan hama pada lebah, nutrisi yang buruk, kurangnya keragaman genetik, praktik pengelolaan lebah, dan penggunaan pestisida (Agency, 2018). (Neuman & Carreck, 2010) menyatakan bahwa lebah madu (A. melifera) mengalami kematian koloni rata-rata 30% di Amerika Serikat hingga 85% di Timur Tengah. Perkembangan industri pertanian dengan memanfaatkan aplikasi pestisida merupakan salah satu penyebab menurunnya keragaman dan populasi lebah (Kahono & Erniwati, 2014). Insektisida berbahan aktif imidakloprid, profenofos, abamektin, deltametrin, fipronil, lambda sihalotrin diketahui dapat mematikan lebah T. laeviceps pada uji laboratorium maupun lapangan (Mubin et al., 2023); (Mubin et al., 2023); (Hasanah et al., 2024). Insektisida tersebut dapat mematikan 100% lebah uji pada konsentrasi rekomendasi yang tercantum pada label kemasan pestisida. Pada penelitian (Mubin et al., 2024) menunjukkan bahwa insektisida imidakloprid, profenofos, dan abamektin yang diuji pada semi lapangan memberikan pengaruh terhadap perilaku terbang dan kunjungan pada bunga tomat serta dapat mematikan lebah T. laeviceps yang dinfestasikan.
Selain insektisida, bahan tambahan atau adjuvan juga dilaporkan dapat bersifat toksik terhadap lebah (Cloyd, 2019). Toksisitas residu adjuvan telah dilaporkan terjadi pada lebah madu yang residunya dapat bertahan dalam cadangan makanan (madu atau bee pollen) (Fine et al., 2017). Pemberian adjuvan sebagai bahan tambahan pestisida dapat meningkatkan keefektifan bahan aktif pestisida. Hal ini dapat ditunjukkan dengan adjuvan yang tidak hanya dapat meningkatkan penetrasi bahan aktif pestisida ke dalam tanaman, tetapi juga permukaan tubuh organisme yang terpapar (Mesnage & Antoniou, 2018). Risiko paparan insektisida secara tunggal maupun yang dicampur dengan bahan tambahan memberikan ancaman terhadap lebah. Oleh karena itu, penelitian ini bertujuan untuk mengetahui pengaruh insektisida sintetik dan bahan tambahan terhadap lebah tanpa sengat T. laeviceps.
BAHAN DAN METODE
Tempat dan waktu
Penelitian dilaksanakan di Laboratorium Fisiologi dan Toksikologi Serangga, Departemen Proteksi Tanaman, Fakultas Pertanian, IPB University. Pengujian dilakukan pada bulan Januari hingga Juni 2024.
Penyiapan serangga uji
Lebah T. laeviceps (Hymenoptera: Apidae: Meliponini) berasal dari koloni pemeliharaan Laboratorium Fisiologi dan Toksikologi Serangga, Departemen Proteksi Tanaman, Fakultas Pertanian, IPB University. Koloni lebah dipelihara dalam kotak standar (panjang 30 cm, lebar 10 cm, tinggi 9 cm) yang diletakkan di bawah naungan/atap. Serangga uji yang digunakan merupakan lebah pekerja. Lebah pekerja diaklimatisasi selama satu jam di dalam tabung kaca (diameter 30 mm dan tinggi 200 mm) sebelum digunakan untuk pengujian.
Penyiapan larutan uji
Bahan yang digunakan pada penelitian ini, yaitu insektisida Ammate 150 EC (bahan aktif (b.a.) indosakarb 150 g/l) dengan kode IN, Ottelo 300 EC (b.a. klorfenapir 300 g/l) dengan kode KL, Oblivion 300 SC (b.a. indosakarb 120 g/l + klorfenapir 180 g/l) dengan kode IK, Sivanto Prime 200 SL (b.a. flupiradifuron 200 g/l) dengan kode FL, dan Andromeda 50/100 EC (b.a. abamektin 50 g/l + asetamiprid 100 g/l) dengan kode AA, dan adjuvan Agristik 400 L dengan kode AG.
Metode pengujian mortalitas
Pengujian mortalitas dilakukan dengan metode kontak dengan aplikasi topikal dan residu serta uji oral, seperti yang dilakukan oleh (Mubin et al., 2023) yang dimodifikasi dengan penambahan arang aktif. Pengujian mortalitas terbagi menjadi dua, yaitu secara tunggal yang hanya menguji formulasi insektisida uji saja dan pengujian kombinasi, yaitu menguji masing- masing larutan uji (Tabel 1) yang ditambahkan dengan adjuvan agristick (AG).
Aplikasi topikal. Toksisitas kontak insektisida dievaluasi pada lebah T. laeviceps dengan aplikasi topikal menggunakan microsyringe (dengan kapasitas 50 µl, dengan luaran 1 µl). Pengujian mortalitas dengan aplikasi topikal secara tunggal terdiri atas enam sediaan insektisida uji, yaitu 1) insektisida berbahan aktif indosakarb 150 g/l dengan konsentrasi anjuran 90 ppm, 2) insektisida klorfenafir 300 g/l dengan konsentrasi anjuran 600 ppm, 3) insektisida indosakarb 120 g/l + klorfenapir 180 g/l dengan konsentrasi anjuran 675 ppm, 4) insektisida flupiradifuron 200 g/l dengan konsentrasi anjuran 200 ppm, 5) insektisida AA dengan konsentasi 112,5 ppm, dan 6) kontrol (aseton). Konsentrasi yang digunakan merupakan konsentrasi bahan aktif. Pengujian mortalitas dengan aplikasi topikal secara kombinasi terdiri atas lima sediaan insektisida uji, dengan masing-masing sediaan uji insektisida pada uji tunggal dicampurkan dengan adjuvan AG dengan konsentrasi anjuran 100 ppm, serta aseton sebagai perlakuan kontrol. Pengujian terdiri atas lima taraf konsentrasi yang berbeda. Sediaan insektisida pada uji tunggal diencerkan menggunakan aseton pada konsentrasi tertinggi pada saat pengujian, sedangkan untuk pengujian secara kombinasi masing-masing insektisida diencerkan menggunakan aseton dan adjuvan AG pada konsentrasi tertinggi pada saat pengujian. Sediaan insektisida uji (tunggal dan kombinasi) kemudian dijadikan sebagai larutan stok. Apabila tingkat kematian lebah rendah maka konsentrasi insektisida uji akan ditingkatkan dan apabila kematian lebah masih tinggi maka konsentrasi insektisida uji akan diturunkan.
Lebah yang telah dimasukkan ke dalam tabung kaca (diameter 30 mm dan tinggi 200 mm) kemudian dianestesi dengan cara dimasukkan ke dalam lemari pendingin pada suhu -18 °C selama 3 menit untuk mempermudah penetesan sediaan insektisida uji. Sebanyak 1 µl sediaan insektisida uji kemudian diteteskan pada bagian dorsotoraks lebah dengan menggunakan microsyringe (Gambar 1).
Setiap perlakuan menggunakan 10 individu lebah dan diulang 3 kali. Lebah yang telah diberi perlakuan kemudian dipelihara di dalam wadah pemeliharaan dan diberi pakan menggunakan bola kapas yang mengandung madu 10%. Pengamatan dilakukan pada 48 jam setelah perlakuan (JSP).
|
Merk dagang (Trade name) |
Bahan aktif (Active ingredient) |
Dosis/Konsentrasi rekomendasi (Recommended dosage/Concentration) |
Golongan (IRAC) (Group (IRAC)) |
|---|---|---|---|
| Ammate 150 EC | Indosakarb 150 g/l | 0,6 ml/l | Oksadiazin (22A) |
| Ottelo 300 EC | Klorfenapir 300 g/l | 2,0 ml/l | Pirol (13) |
| Oblivion 300 SC | Indosakarb 120 g/l + Klorfenapir 180 g/l | 2,25 ml/l | Oksadiazin (22A) + Pirol (13) |
| Sivanto Prime 200 SL | Flupiradifuron 200 g/l | 1,0 ml/l | Butenolida (4D) |
| Andromeda 50/100 EC | b.a. Abamektin 50 g/l + Asetamiprid 100 g/l | 1,0 ml/l | Avermektin (6) + Neonikotinoid (4A) |
Nilai LD50 (lethal dose) digunakan untuk klasifikasi nilai toksisitas bahan uji pada lebah menurut US EPA 2014 (Tabel 2). Selain itu, tingkat toksisitas insektisida juga diukur dengan menggunakan nilai hazard quotient (HQ) (Fischer & Moriaty, 2014). Nilai HQ digunakan untuk mengklasifikasikan tingkat toksistasnya (Tabel 3).
Aplikasi residu. Jenis insektisida dan konsentrasi yang digunakan pada pengujian aplikasi residu baik secara tunggal maupun kombinasi sama seperti pada pengujian aplikasi topikal. Pengujian dilakukan secara tunggal dan kombinasi dengan pelarut yang digunakan juga sama dengan aplikasi topikal (aseton saja untuk pengujian tunggal dan aseton yang telah dicampurkan dengan adjuvan AG pada pengujian kombinasi). Pengujian terdiri atas lima taraf konsentrasi yang berbeda.
Aplikasi residudilakukan dengan cara mengambil larutan uji sebanyak 500 µl, kemudian diteteskan menggunakan mikropipet ke dalam tabung kaca (diameter 30 mm dan tinggi 200 mm). Tabung kaca diputar-putar agar larutan insektisida menyebar merata pada permukaan dalam tabung kaca. Selanjutnya, tabung kaca dibiarkan untuk menguapkan pelarut. Sebanyak 10 lebah T. laeviceps dimasukkan pada tabung kaca uji dan dipaparkan selama 5 menit (Gambar 2). Setiap perlakuan diulang 3 kali. Lebah yang telah diberi perlakuan kemudian dipelihara pada wadah pemeliharaan dan diberi pakan bola kapas yang mengandung madu 10% (v/v). Pengamatan dilakukan pada 48 JSP.
Aplikasi oral. Toksisitas racun perut insektisida dan adjuvan dievaluasi pada lebah T. laeviceps dengan aplikasi oral. Insektisida dan konsentrasi uji yang digunakan pada pengujian aplikasi oral baik secara tunggal maupun kombinasi sama dengan kedua pengujian sebelumnya (topikal dan residu), tetapi pelarut yang digunakan adalah sukrosa 50%. Pengujian terdiri atas lima taraf konsentrasi.
Gambar 1.Aplikasi topikal insektisida dan adjuvan pada lebah Tetragonula laeviceps dengan menggunakan microsyringe
|
Nilai LD50 (µg/lebah) LD50 value (µg/bee) |
Klasifikasi toksisitas (Toxicity classification) |
|---|---|
| ≥ 11 | Tidak toksik (Nontoxic) |
| 11 > LD50 > 2 | Toksik moderat (Moderate toxicity) |
| ≤ 2 | Toksik tinggi (High toxicity) |
|
Nilai HQ HQ value |
Klasifikasi toksisitas (Toxicity classification) |
|---|---|
| < 50 | Risiko rendah (Low risk) |
| > 50 | Perlu analisis risiko (Need risk analysis) |
Gambar 2.Aplikasi residu insektisida dan adjuvan pada lebah Tetragonula laeviceps
Lebah T. laeviceps yang digunakan telah diaklimatisasi tanpa pakan selama satu jam di dalam wadah pemeliharaan (diameter 90 mm dan tinggi 105 mm). Sediaan insektisida uji dengan masing-masing taraf perlakuan diambil menggunakan bola kapas. Bola kapas yang mengandung larutan uji diletakkan pada bagian atas wadah pemeliharaan (Gambar 3) dan dipaparkan selama 5 menit. Selanjutnya bola kapas yang mengandung larutan uji diganti dengan bola kapas lain yang mengandung 10% madu untuk pakan selama pemeliharaan. Setiap perlakuan menggunakan 10 individu lebah dan diulang 3 kali. Lebah kemudian dipelihara dan diamati selama 48 JSP.
Analisis data
Data mortalitas lebah T. laeviceps secara tunggal maupun kombinasi ditabulasikan menggunakan Microsoft Excel365. Data mortalitas yang diperoleh dianalisis probit menggunakan program POLO PC (Leora Software 1987) untuk menentukan nilai LC50 dan LD50.
HASIL
Mortalitas lebah Tetragonula laeviceps pada pengujian tunggal dan kombinasi
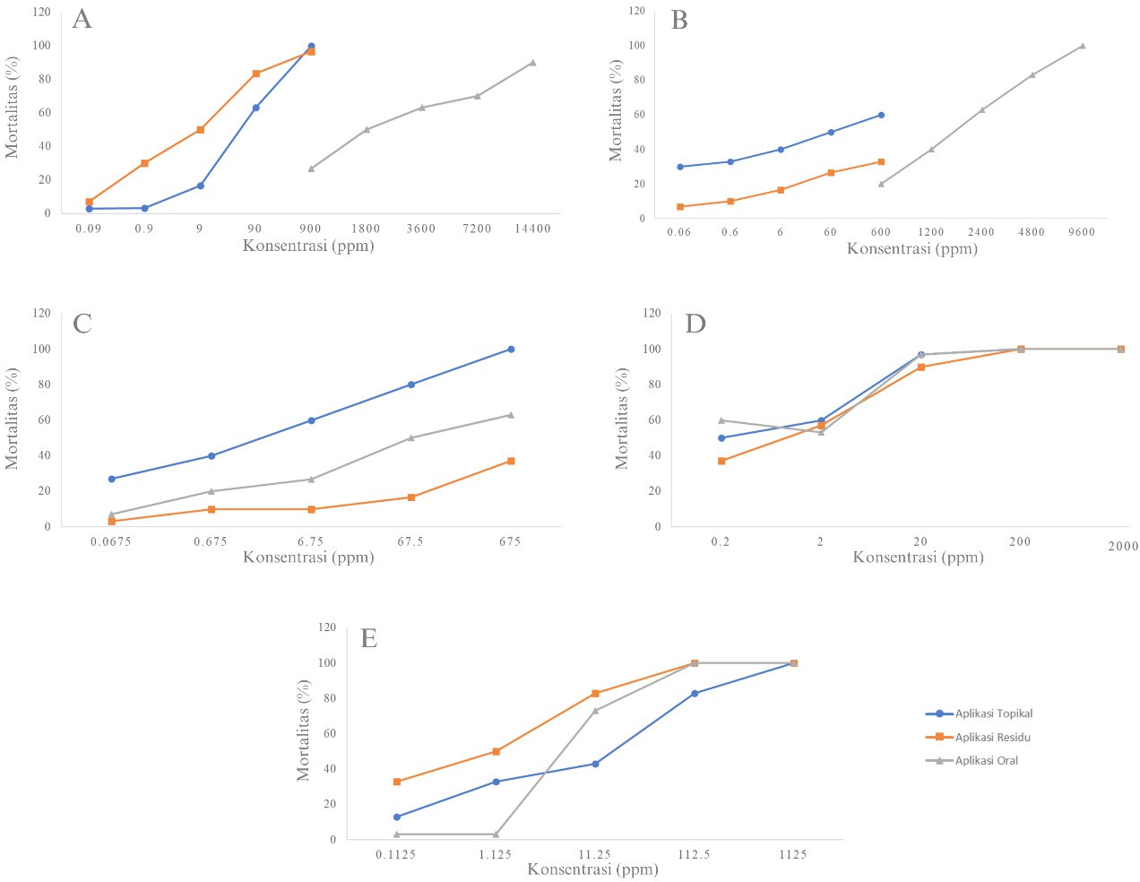
Perlakuan kelima insektisida terhadap T. laeviceps menunjukkan hubungan yang linier antara konsentrasi bahan aktif yang digunakan dan mortalitas lebah (Gambar 4). Semakin tinggi konsentrasi bahan aktif yang diaplikasikan maka semakin banyak jumlah lebah yang mati. Perlakuan insektisida indosakarb secara tunggal pada konsentrasi 900 ppm dengan aplikasi topikal menyebabkan tingkat mortalitas sebesar 100% yang menunjukkan lebih tinggi dari pada aplikasi residu (97%) dan aplikasi oral (27%) (Gambar 4A). Sementara itu, mortalitas lebah hanya mencapai 63% (aplikasi topikal) dan 83% (aplikasi residu) pada konsentrasi anjuran 90 ppm. Paparan insektisida berbahan aktif klorfenapir dengan aplikasi topikal pada konsentrasi anjuran 600 ppm menunjukkan tingkat mortalitas lebah lebih tinggi, yaitu sebesar 60% dibandingkan dengan aplikasi residu sebesar 33% dan aplikasi oral sebesar 20% (Gambar 4B). Paparan insektisida berbahan aktif indosakarb dan klorfenapir secara tunggal pada aplikasi topikal pada konsentrasi anjuran 675 ppm menyebabkan tingkat mortalitas lebah 100%, sedangkan pada aplikasi residu dan oral hanya menghasilkan tingat mortalitas berturut-turut 37% dan 63% (Gambar 4C).
Gambar 3.Aplikasi oral insektisida dan adjuvan pada lebah Tetragonula laeviceps
Insektisida berbahan aktif flupiradifuron yang diujikan secara tunggal terhadap lebah T. laeviceps pada aplikasi topikal, residu, dan oral menunjukkan bahwa pada konsentrasi anjuran, yaitu 200 ppm, mortalitas lebah mencapai 100% (Gambar 4D). Selain itu, paparan insektisida berbahan aktif abamektin dan asetamiprid (AA) secara tunggal terhadap lebah T. laeviceps pada aplikasi residu dan oral menunjukkan bahwa pada konsentrasi anjuran 112,5 ppm dapat mencapai mortalitas lebah 100%, sedangkan mortalitas lebah mencapai 83% pada aplikasi topikal (Gambar 4E).
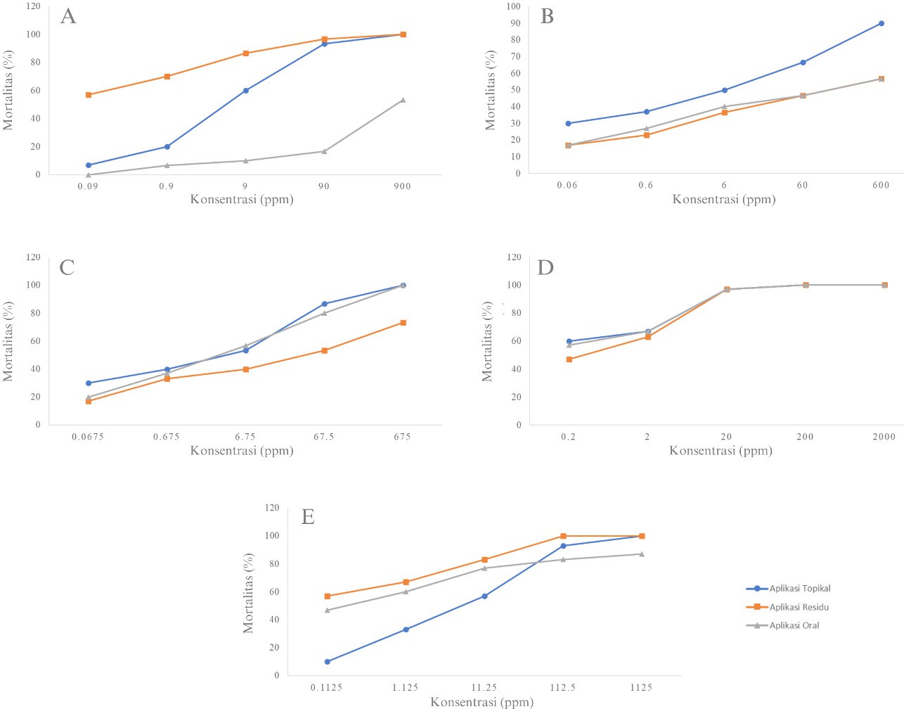
Pengujian insektisida dengan uji kombinasi (adjuvant AG) menunjukkan adanya peningkatan toksistas. Insektisida berbahan aktif indosakarb dengan metode uji aplikasi residu pada konsentrasi anjuran 90 ppm menunjukkan bahwa mortalitas lebah mencapai 97%. Hasil pengujian ini lebih tinggi jika dibandingkan dengan metode aplikasi topikal (93%) dan aplikasi oral (>20%) (Gambar 5A). Insektisida klorfenapir pada metode aplikasi topikal dengan konsentrasi anjuran 600 ppm sudah mencapai mortalitas lebah T. laeviceps sebesar 90%. Hal ini menunjukkan bahwa konsentrasi uji kombinasi lebih tinggi mortalitasnya jika dibandingkan dengan aplikasi residu dan oral sebesar 47% uji tunggal (Gambar 5B).
Uji kombinasi insektisida berbahan aktif indosakarb dan klorfenapir pada uji aplikasi topikal dan oral konsentrasi anjuran 675 ppm mencapai mortalitas lebah 100%, sedangkan pada uji aplikasi residu mortalitas lebah mencapai 73% (Gambar 5C). Hasil pengujian lebah T. laeviceps terhadap insektisida berbahan aktif flupiradifuron dengan konsentrasi anjuran 200 ppm mencapai mortalitas lebah 100% pada ketiga metode uji (Gambar 5D). Sementara itu, pengujian lebah T. laeviceps terhadap uji kombinasi insektisida berbahan aktif abamektin dan asetamiprid pada metode uji aplikasi residu dengan konsentrasi anjuran 112,5 ppm mencapai mortalitas lebah 100%, serta pada uji topikal dan oral menunjukkan adanya mortalitas lebah mencapai 93% dan 83% (Gambar 5E). Hal ini menunjukkan telah terjadi peningkatan persentase mortalitas lebah T. laeviceps dari masing- masing insektisida pada pengujian kombinasi.
Gambar 4.Tingkat mortalitas lebah Tetragonula laeviceps pada pengujian mortalitas tunggal. Perlakuan insektisida indosakarb (A), insektisida klorfenapir (B), insektisida indosakarb + klorfenapir (C), insektisida flupiradifuron (D), dan insektisida abamektin + asetamiprid (E) dengan tiga metode uji.
Toksisitas lima insektisida dan adjuvan AG terhadap lebah T. laeviceps
Pengujian secara tunggal dan kombinasi pada kelima insektisida uji terhadap lebah T. laeviceps menghasilkan nilai LC50 (lethal concentration) yang berbeda pada metode uji aplikasi topikal, residu, dan oral (Tabel 4). Nilai LC50 pada insektisida indosakarb dan klorfenapir menunjukkan sifat yang tidak toksik pada aplikasi oral, yaitu 2202,50 dan 1546 ppm dibandingkan dengan konsentrasi anjuran 90 dan 600 ppm (secara berurutan, indosakarb 150 g/l dan klorfenapir 300 g/l). Akan tetapi, untuk aplikasi topikal dan residu, kedua formulasi insektisida menunjukkan nilai LC50 yang sangat rendah artinya tokisistas formulasi insektisida yang diujikan sangat tinggi (Tabel 4). Insektisida berbahan aktif flupiradifuron 200 g/l yang diujikan secara tunggal memiliki nilai LC50 yang lebih rendah dibandingkan dengan nilai LC50 pada insektisida lainnya. Hal ini menunjukkan bahwa insektisida flupiradifuron bersifat lebih toksik.
Secara umum, nilai LC50 pada formulasi insektisida yang ditambahkan dengan adjuvan AG menunjukkan nilai yang lebih rendah dibandingkan uji tunggal tanpa penambahan adjuvan AG. Nilai LC50 flupiradifuron yang telah dikombinasikan dengan adjuvan AG lebih rendah dibandingkan dengan formulasi insektisida lainnya pada metode aplikasi topikal. Sementara itu, pada uji residu, formulasi insektisida indosakarb yang mempunyai nilai LC50 yang lebih rendah. Formulasi insektisida abamektin + asetamiprid memiliki nilai LC50 lebih rendah dibandingkan dengan keempat insektisida uji lainnya. Hal ini menunjukkan bahwa kombinasi adjuvan dan formulasi insektisida uji memiliki toksisitas yang lebih tinggi pada uji topikal, residu, dan oral pada insektisida berbahan aktif flupiradifuron indosakarb, dan abamektin + asetamiprid (secara berurutan) (Tabel 4).
Gambar 5.Tingkat mortalitas lebah Tetragonula laeviceps pada pengujian kombinasi. Perlakuan insektisida indosakarb (A), insektisida klorfenapir (B), insektisida indosakarb + klorfenapir (C), insektisida flupiradifuron (D), dan insektisida abamektin + asetamiprid (E) pada tiga metode uji
Berdasarkan nilai LD50 dari kelima formulasi insektisida yang telah diujikan terhadap lebah T. laeviceps secara tunggal maupun kombinasi tergolong ke dalam insektisida yang bersifat toksik tinggi (Tabel 5 dan Tabel 6). Hasil nilai hazard quotient (HQ) yang didapatkan kelima insektisida yang masing-masing telah dicampurkan dengan adjuvan AG dan diujikan secara kombinasi tergolong ke dalam bahan yang memerlukan analisis risiko yang lebih lanjut (Tabel 6).
PEMBAHASAN
Lebah mengunjungi bunga untuk mendapatkan sumber pakannya, yaitu berupa nektar dan serbuk sari untuk memenuhi kebutuhan koloninya. Meskipun bunga atau tanaman tersebut telah terpapar oleh insektisida, lebah akan tetap melakukan kunjungan agar dapat memenuhi kebutuhan pakan di dalam sarang. Risiko lebah untuk terpapar bahan kimia, seperti insektisida di lapangan sangat tinggi karena penggunaan insektisida oleh petani. Insektisida digunakan untuk melindungi tanaman yang dibudidayakan agar terhindar oleh hama. Akan tetapi, lebah dan sebagian besar hama tanaman termasuk ke dalam kelompok serangga sehingga aplikasi insektisida akan memberikan dampak secara langsung atau tidak langsung terhadap lebah. Lebah tidak secara langsung akan berkunjung ke bunga ketika mencari pakan, tetapi terkadang lebah akan hinggap pada ranting atau daun.
|
Insekstisida (Inseticides) |
LC50 (SK 95%) (ppm) |
Konsentrasi rekomendasi (Recommendation concentration) (ppm) |
||
|---|---|---|---|---|
|
Aplikasi topikal (Topical application) |
Aplikasi residu (Residual application) |
Aplikasi oral (Oral application) |
||
| IN |
35,44 (24,60-69,15) |
5,97 (2.83-12.36) |
2202,50 (1267,82-3607,37) |
90,00 |
| KL |
9,75 (9,30-65,40) |
16.201,29 (698,08- 0,59116E+10) |
1545,00 (1175,48-1966,62) |
600,00 |
| IK |
1,43 (0,18-6,51) |
14.557,53 (936,84- 0,13451E+09) |
98,16 (18,51-3332,4) |
675,00 |
| FL |
0,35 (0,80-2,60) |
0,73 (0,271-1,502) |
0,94 (0,365-1,950) |
200,00 |
| AA |
5,97 (0,911-35,074) |
0,61 (0,143-1,272) |
5,35 (3,30-6,40) |
112,50 |
| IN + AG |
4,30 (2,31-8,02) |
0,07 (0,005-0,247) |
1156,00 (168,60-837060) |
- |
| KL + AG |
2,72 (0,68-9,05) |
130,72 (22,67-6191,10) |
108,41 (17,99-6046-25) |
- |
| IK + AG |
1,29 (0,042-10,566) |
22,31 (5,845-131,412) |
2,14 (0,903-8,036) |
- |
| FL + AG |
0,17 (0,40-2,00) |
0,38 (0,022-1,277) |
0,21 (0,41-2,01) |
- |
| AA + AG |
3,89 (1,944-9,590) |
0,12 (0,000-0,690) |
0,15 (0,002-0,949) |
- |
| IN | KL | IK | FL | AA | |
|---|---|---|---|---|---|
| LD50 (µg/lebah) | 0,0354 | 0,0097 | 0,0014 | 0,0004 | 0,0060 |
| Klasifikasi(Agency, 2014) | Toksik tinggi | Toksik tinggi | Toksik tinggi | Toksik tinggi | Toksik tinggi |
| Hazard quotient | 5078,43 | 61.544,77 | 420.757,36 | 852.272,73 | 37.688,44 |
| Klasifikasi (Fischer & Moriaty, 2014) | Perlu analisis risiko | Perlu analisis risiko | Perlu analisis risiko | Perlu analisis risiko | Perlu analisis risiko |
| IN + AG | KL + AG | IK + AG | FL + AG | AA + AG | |
|---|---|---|---|---|---|
| LD50 (µg/lebah) | 0,0043 | 0,0027 | 0,0013 | 0,0002 | 0,0039 |
| Klasifikasi (Agency, 2014) | Toksik tinggi | Toksik tinggi | Toksik tinggi | Toksik tinggi | Toksik tinggi |
| Hazard quotient | 41.811,8 | 22.0588,2 | 465.116,3 | 1.775.147,9 | 57.825,7 |
| Klasifikasi (Fischer & Moriaty, 2014) | Perlu analisisrisiko | Perlu analisisrisiko | Perlu analisisrisiko | Perlu analisisrisiko | Perlu analisisrisiko |
Aplikasi insektisida di lapangan umum dilakukan dengan cara menyemprotkan insektisida ke seluruh bagian tanaman tidak terkecuali daun, ranting, dan bunga sehingga yang diaplikasikan dapat tertinggal pada seluruh bagian tanaman budi daya. Lebah yang berkunjung dan hinggap pada bagian tanaman akan terpapar secara dermal (kutikula serangga) serta lebah yang berkunjung pada kelopak bunga akan terpapar insektisida secara dermal dan terpapar secara oral ketika lebah menghisap nektar.
Insektisida berbahan aktif indosakarb memiliki nilai toksisitas yang sangat tinggi bila diaplikasikan secara kontak dan memiliki nilai toksisitas yang rendah bila diaplikasikan secara oral. Hal ini sesuai dengan cara kerja insektisida indosakarb sebagai racun kontak (Agency, 2000). Insektisida berbahan aktif indosakarb juga dilaporkan (Authority, 2012) memiliki toksisitas dengan risiko yang tinggi sebagai racun akut dan kronis. Residu insektisida berbahan aktif indosakarb juga dilaporkan terdapat pada tanaman ceri, persik, melon, dan mentimun (Food & Organization, 2009). Selain itu, residu indosakarb dilaporkan (Li et al., 2020) terdapat pada area persawahan dan residunya bertahan selama sembilan hari. Paparan residu ini berpotensi membahayakan lebah penyerbuk yang mencari makan pada tanaman tersebut, baik melalui kontak langsung dengan permukaan tanaman maupun konsumsi nektar dan polen yang terkontaminasi. Sementara itu, insektisida berbahan aktif klorfenapir juga dapat menyebabkan mortalitas lebah Bombus terrestris (Linnaeus). Morfologi dan perkembangan lebah B. terrestris juga terpengaruh akibat insektisida berbahan aktif klorfenapir tersebut. Residu insektisida berbahan aktif klorfenapir dapat bertahan hingga 21 hari pada tanaman jeruk dan tomat (Kato et al., 2022).
Flupiradifuron merupakan bahan aktif insektisida golongan butenolides (4D). Insektisida tersebut bekerja sebagai modulator kompetitif reseptor nikotinik asetilkolin (nAChR). Insektisida flupiradifuron bekerja dengan cara memblokir reseptor asetilkolin nikotinat (nAChR) dan mengganggu transmisi impuls saraf pada serangga sehingga menyebabkan berbagai gejala, yaitu hipereksitasi, lemah, dan kelumpuhan serangga (Committee, 2023). Menurut penelitian (Hesselbach & Scheiner, 2018), penggunaan insektisida berbahan aktif flupiradifuron dapat memengaruhi respons gustatory dan perilaku lebah madu A. mellifera. Insektisida flupiradifuron juga dapat menyebabkan kematian pada lebah B. impatiens Cresson(Mundy-Heisz et al., 2022). Bahkan insektisida ini juga diketahui dapat mengontaminasi nektar dan serbuk sari lebah A. mellifera(Campbell et al., 2016).
Formulasi insektisida yang mengandung adjuvan, seperti sticker atau perekat, dapat merekatkan butiran semprot pada tanaman sehingga insektisida dapat bertahan cukup lama pada permukaan (Djojosumarto, 2000). Residu insektisida akan lebih lama tertinggal pada permukaan tanaman sehingga meningkatkan persistensinya di lapangan. Residu insektisida berbahan aktif abamektin sangat beracun dan dapat menyebabkan mortalitas 100% lebah madu A. mellifera pada 36 JSP dengan konsentrasi 0,018 g/l, sedangkan insektisida berbahan aktif asetamiprid dapat menyebabkan mortalitas sebesar 60% terhadap lebah madu A. mellifera pada 60 JSP dengan konsentrasi 0,06 g/l. Insektisida berbahan aktif abamektin juga dapat menyebabkan 100% mortalitas lebah madu A. mellifera dan insektisida berbahan aktif asetamiprid menyebabkan 47,6% mortalitas lebah madu A. mellifera pada pengujian secara oral. Kedua bahan aktif insektisida ini juga dapat menyebabkan mortalitas lebah madu A. mellifera sebesar 100% pada pengujian penyemprotan secara langsung atau uji kontak (Costa et al., 2014).
Indosakarb memiliki cara kerja racun kontak, sedangkan insektisida berbahan aktif klorfenapir, indosakarb + klorfenapir, flupiradifuron, dan abamektin + asetamiprid memiliki cara kerja racun kontak dan racun lambung. Beberapa insektisida juga bersifat racun akut dan kronis. Lebah yang telah terpapar oleh insektisida secara kontak maupun oral pada dosis letalnya (lethal dose/LD) akan mengalami kematian. Dampak lain dari paparan insektisida pada lebah adalah ketika lebah membawa nektar atau polen yang terkena paparan insektisida ke sarangnya. Hal ini dapat membahayakan koloni lebah karena koloni lebah tersebut juga dapat terpapar oleh insektisida akibat perilaku lebah yang saling memberi makanan antar anggota koloni (trofalaksis) (Gernat et al., 2018); (Mortensen & Ellis, 2018).
Nilai LC50 masing-masing insektisida yang telah dicampurkan dengan adjuvan AG lebih rendah jika dibandingkan dengan insektisida yang diujikan secara tunggal. Hal ini menunjukan bahwa penambahan adjuvan dapat meningkatkan efek toksisitas insektisida pada lebah T. laeviceps. Adjuvan diketahui memiliki fungsi untuk meningkatkan efektivitas pestisida yang disemprotkan dengan meningkatkan penyebaran, pembasahan, penetrasi, mengurangi degradasi UV, serta mengurangi penguapan (Ciarlo et al., 2012).
Toksisitas kontak dari insektisida berbahan aktif indosakarb telah dilaporkan berada pada LD50 sebesar 0,0018 µg/lebah 24 JSP dan 0,0012 µg/lebah setelah 48 JSP pada lebah madu A. mellifera(Abbassy et al., 2020). Nilai LD50 pada insektisida berbahan aktif klorfenapir telah dilaporkan sebesar 71,30 µg/lebah pada lebah madu A. mellifera(Domatskaya et al., 2018) dan 0,12 µg/lebah dengan uji aplikasi topikal pada lebah madu A. mellifera(Agency, 1993). Toksisitas insektisida berbahan aktif flupiradifuron(Hesselbach & Scheiner, 2018) secara oral juga telah dilaporkan (Hesselbach & Scheiner, 2018) berada pada nilai LD50 sebesar 1,2 µg/lebah, sedangkan secara kontak sebesar > 100 µg/lebah pada lebah madu A. mellifera(Nauen et al., 2014). Insektisida berbahan aktif flupiradifuron juga dilaporkan (Mundy-Heisz et al., 2022) dengan nilai LD50 sebesar 2,8231 µg/lebah pada bumblebee (B. impatiens). Toksisitas insektisida berbahan aktif asetamiprid secara dermal (aplikasi topikal) memilikinilai LD50 sebesar 1,69 µg/lebah (Badawy et al., 2015) dan 8,09 µg/lebah (Authority, 2012). Nilai LD50 insektisida berbahan aktif abamektin secara kontak sebesar 1,54 µg/lebah pada lebah madu A. mellifera(MCL et al., 2014).
Hazard quotient digunakan untuk menilai risiko insektisida terhadap lebah T. laeviceps berdasarkan perbandingan antara dosis aplikasi di lapangan dan tingkat toksisitasnya (LD₅₀). Semua insektisida yang diuji memiliki HQ jauh di atas ambang batas aman (>50), menandakan bahwa insektisida ini berpotensi membahayakan populasi lebah. Flupiradifuron memiliki nilai HQ tertinggi (852.272,73 dalam uji tunggal) dan meningkat menjadi 1.775.147,9 dengan adjuvan. Hal ini dapat dikategorikan sebagai insektisida paling berisiko. Selain itu, penambahan adjuvan pada setiap insektisida meningkatkan toksisitas, terlihat dari penurunan LD₅₀ dan peningkatan HQ secara signifikan. Hal ini menunjukkan bahwa kombinasi insektisida dan adjuvan memperbesar ancaman terhadap lebah dan dapat menyebabkan dampak ekologis yang lebih luas.
Implikasi dari nilai HQ yang tinggi sangat serius karena dapat menyebabkan kematian massal lebah, gangguan pada koloni, serta berkurangnya efektivitas penyerbukan alami. Jika populasi lebah menurun akibat paparan insektisida, produktivitas pertanian juga akan terdampak negatif. Oleh karena itu, penggunaan insektisida harus dilakukan secara bijak, seperti menghindari aplikasi saat tanaman berbunga atau saat lebah aktif mencari makan. Selain itu, alternatif pengendalian hama yang lebih ramah lingkungan, seperti penggunaan pestisida nabati atau musuh alami, perlu dikembangkan untuk mengurangi dampak negatif terhadap populasi lebah dan menjaga keseimbangan ekosistem pertanian. Beberapa bahan tambahan atau adjuvan ditambahkan untuk memengaruhi penyerapan dan stabilitas bahan aktif pestisida sehingga dapat meningkatkan efektifitas kerja pestisida. Meskipun demikian, adjuvan juga dapat menjadi racun yang menimbulkan efek negatif bagi lingkungan. Adjuvan yang memiliki fungsi penetrasi berperan meningkatkan kelarutan bahan aktif dan melindungi bahan aktif dari degradasi (Mesnage & Antoniou, 2018). Adjuvan tidak hanya meningkatkan penetrasi bahan aktif pestisida ke dalam tanaman, tetapi juga dapat meningkatkan penetrasi pada permukaan tubuh serangga. (Foy & Pritchard, 1996) juga menyatakan bahwa adjuvan memiliki aktivitas yang toksik. Paparan adjuvan AG secara tunggal dilaporkan oleh (Dewanthi, 2023) dapat menyebabkan mortalitas pada lebah meskipun termasuk ke dalam kategori risiko yang rendah.
Pengujian dengan metode uji topikal menggambarkan kondisi lebah yang terpapar oleh insektisida atau adjuvan secara langsung saat terjadi penyemprotan, sedangkan uji residu menggambarkan kondisi lebah yang terpapar oleh residu insektisida pada tanaman setelah dilakukan penyemprotan insektisida sebelumnya di lapangan. Sementara itu, uji oral menggambarkan kondisi lebah yang menghisap nektar atau polen dari tanaman atau bunga yang sudah terpapar oleh insektisida atau adjuvan di lapangan (Audia, 2022).
Dalam upaya mengurangi risiko paparan insektisida terhadap lebah, aplikasi insektisida sebaiknya tidak dilakukan ketika lebah sedang beraktivitas. Lebah beraktivitas mencari makan pada pagi hingga sore hari sehingga aplikasi insektisida pada tanaman dapat dilakukan ketika lebah sudah kembali ke sarang. Menurut (Haneda et al., 2022), koloni lebah memulai aktivitas pencarian makan (foraging) pada pukul 06.00 dan aktivitas berakhir pada pukul 17.00. Menurut (Karbassioon & Stanley, 2023), aplikasi pestisida pada malam hari layak dilakukan untuk menghindari kontak langsung antara pestisida dan serangga penyerbuk karena serangga penyerbuk, seperti lebah tidak aktif pada malam hari meskipun terdapat pertimbangan praktis dalam aplikasinya.
Penggunaan insektisida terutama yang bersifat toksik terhadap lebah sebaiknya tidak diaplikasikan pada tanaman berbunga maupun gulma yang memiliki bunga karena lebah dapat saja mengunjungi bunga dari tanaman yang sudah terpapar pestisida dan menyebabkan kematian lebah pada dosis akut. Dosis yang tidak mematikan terhadap lebah juga tetap memiliki dampak negatif, seperti paparan insektisida pada lebah dapat menyebabkan gangguan kemampuan mencari makan, perubahan perilaku, penurunan imunitas, penurunan rentang masa hidup, perubahan dalam reproduksi lebah, dan perkembangan lebah yang abnormal (Gradish et al., 2012). Selain berbahaya terhadap lebah pekerja, insektisida juga dapat membahayakan koloni karena sumber makanan atau air yang terpapar pestisida dibawa oleh lebah pekerja ke dalam sarang dan digunakan untuk memberi makan anakan lebah, ratu lebah, maupun anggota koloni yang lain sehingga memberikan efek domino yang berujung pada kematian masal lebah dalam koloni.
KESIMPULAN
Lima jenis insektisida sintetik yang diuji memiliki toksisitas tinggi terhadap lebah T. laeviceps, dengan flupiradifuron sebagai insektisida paling toksik. Penambahan adjuvan meningkatkan toksisitas, terutama dalam aplikasi residu dan oral. Nilai hazard quotient (HQ) yang tinggi menunjukkan risiko besar terhadap populasi lebah, yang dapat mengganggu penyerbukan alami dan produktivitas pertanian.
References
- Abbassy M.A., Nasr H.M., Abo-yousef H.M., Dawood R.R.. Acute toxicity of selected insecticides and their safety to honey bee (Apis mellifera L.) workers under laboratory conditions. Austin Environmental Sciences. 2020; 5:1-6.
- Audia B.H.. Institut Pertanian Bogor: Bogor; 2022.
- Badawy M.E.I., Nasr H.M., Rabea E.I.. Toxicity and biochemical changes in the honey bee Apis mellifera exposed to four insecticides under laboratory conditions. Journal Apidologie. 2015; 46:177-193. DOI
- Bugin G., Lenzi L., Ranzani G., Barisan L., Porrini C., Zanella A., Bolzonella C.. Agriculture and pollinating insects, no longer a choice but a need: EU agriculture’s dependence on pollinators in the 2007–2019 period. Sustainability. 2022; 14(3644)DOI
- Campbell J.W., Cabrera A.R., Stanley-Stahr C., Ellis J.D.. An evaluation of the honey bee (Hymenoptera: Apidae) safety profile of a new systemic insecticide, flupyradifurone, under field conditions in Florida. Journal of Economic Entomology. 2016; 109:1967-1972. DOI
- Ciarlo T.J., Mullin C.A., Frazier J.L., Schmehi D.R.. Learning impairment in honey bee caused by agricultural spray adjuvants. PloS One. 2012; 7:1-12. DOI
- Cloyd R.A..In: Ranz R.E.R.. Modern Beekeeping. Intech Open: Intech Open; 2019:1-12.
- Costa E., Araujo E., Maia A., Silva F., Bezerra C., Silva J.. Toxicity of insecticides used in the brazilian melon crop to the honey bee Apis mellifera under laboratory conditions. Journal Apidologie. 2014; 45:34-44. DOI
- MCL Del Sarto, EE Oliveira, RNC Guedes, LAO Campos. Differential insecticide susceptibility of the Neotropical stingless bee Melipona quadrifasciata and the honey bee Apis mellifera. Journal Apidologie. 2014; 45:626-636. DOI
- Dewanthi S.A.. Institut Pertanian Bogor: Bogor; 2023.
- Djojosumarto P.. Kanisius: Yogyakarta; 2000.
- Domatskaya T.F., Domatskiy A.N., Levchenko M.A., Silivanova E.A.. Acute contact toxicity of insecticidal baits on honeybees Apis mellifera: a laboratory study. Ukrainian Journal of Ecology. 2018; 8:887-891. DOI
- Authority E.F.S.A.] European Food Safety. Statement on the findings in recent studies investigating sub-lethal effects in bees of some neonicotinoids in consideration of the uses currently authorised in europe. Journal EFSA: European Food Safety Authority (EFSA. 2012; 10(2752)DOI
- Agency E.P.A.] Environmental Protection. US EPA - resticides; chlorfenapyr. 1993.
- Agency E.P.A.] Environmental Protection. The United States Environmental Protection Agency: Washington DC; 2000.
- Agency E.P.A.] Environmental Protection. The United States Environmental Protection Agency: Washington DC; 2014.
- Agency E.P.A.] Environmental Protection. Understanding how pesticide exposure affect honey bee colonies. 2018. Publisher Full Text
- Fajarwati M.R., Atmowidi T., Dorly. Keanekaragaman serangga pada bunga tomat (Lycopersicon esculentum Mill.) di lahan pertanian organik. Jurnal Entomologi Indonesia. 2009; 2:77-85. DOI
- Food F.A.O.], Organization Agriculture. Pesticides residues: indoxacarb. 2009. Publisher Full Text
- Fine J.D., Cox-Foster D.L., Mullin C.A.. An inert pesticide adjuvant synergizes viral phatogenicity and mortality in honey bee larvae. Journal Scientific Reports. 2017; 7:1-9. DOI
- Fischer D., Moriaty T.. Pesticide Risk Assessment for Pollinators. 2014. DOI
- Foy C.L., Pritchard D.W.. Pesticide Formulation and Adjuvant Technology. 1996. DOI
- Gernat T., Rao V.D., Middendorf M., Dankowicz H., Goldenfeld N., Robinson G.E.. Automated monitoring of behavior reveals bursty interaction patterns and rapid spreading dynamics in honeybee social networks. PNAS. 2018; 7:1433-1438. DOI
- Gradish A.E., Scott-Dupree C.D., Frewin A.J., Cutler G.C.. Lethal and sublethal effects of some insecticides recommended for wild blueberry on the pollinator Bombus impatiens. The Canadian Entomologist. 2012; 144:478-486. DOI
- Haneda N.F., Rusniarsyah L., Robbani M.R.. Aktivitas terbang dan perkembangan koloni lebah kelulut (Tetragonula laeviceps) di Kampus IPB Darmaga Bogor. Jurnal Hutan Tropika. 2022; 17:30-39. DOI
- Hasanah I.R., Mubin N., Sartiami D., Priawandiputra W., Dadang. The Toxicity Test of Synthetic Insecticides on Tetragonula laeviceps (Apidae: Meliponini. HAYATI Journal of Biosciences. 2024; 31:271-283. DOI
- Herlinda S., Sari J.M.P..In: S Herlinda. Revitalisasi Sumber Pangan Nabati dan Hewani Pascapandemi dalam Mendukung Pertanian Lahan Suboptimal secara Berkelanjutan. Seminar Nasional Lahan Suboptimal ke-10 Tahun 2022. Universitas Sriwijaya: Universitas Sriwijaya; 2022:40-60.
- Hesselbach H., Scheiner R.. Effects of the novel pesticide flupyradifurone (Sivanto) on honeybee taste and cognition. Scientific Reports. 2018; 8:1-8. DOI
- Biodiversity I.P.B.E.S.] Intergovernmental Science-Policy Platform, Services Ecosystem, Potts S.G., Imperatriz-Fonseca V.L., Ngo H.T., Biesmeijer J.C., Breeze T.D., Dicks L.V., Garibaldi L.A., Hill R., Settele J., Vanbergen A.J., Aizen M.A., Cunningham S.A., Eardley C., Freitas B.M., Gallai N., Kevan P.G., Kovács-Hostyánszki A., Kwapong P.K., Li J., Li X., Martins D.J., Nates-Parra G., Pettis J.S.. Summary for Policymakers of The Assessment Report of the Intergovernmental Science-Policy Platform on Biodiversity and Ecosystem Services on Pollinators, Pollination and Food production. 2016.
- Committee I.R.A.C.] Insecticide Resistance Action. IRAC Mode of Action Classification Scheme. 2023.
- Kahono S., Erniwati. Keragaman dan kelimpahan lebah sosial (Apidae) pada bunga tanaman pertanian musiman yang diaplikasikan pestisida di Jawa Barat. Berita Biologi. 2014; 13:231-238.
- Karbassioon A., Stanley D.A.. Exploring relationships between time of day and pollinator activity in the context of pesticide use. Basic and Applied Ecology. 2023; 72:74-81. DOI
- Kato Y., Kikuta S., Barribeau S.M., Inoue M.N.. In vitro larval rearing method of eusocial bumblebee Bombus terrestris for toxicity test. Scientific Reports. 2022; 12:1-10. DOI
- Klein A.M., Vaissière B.E., Cane J.H., Steffan-Dewenter I., Cunningham S.A., Kremen C., Tscharntke T.. Importance of pollinators in changing landscapes for world crops. Proceedings of the Royal Society B: Biological Sciences. 274:303–313. 2007. DOI
- Leksikowati S.S., Putra R.E., Rosmiati M., Kinasih I., Husna I.Z., Novitasari Setiyarni, E Rustam, F.A.. Aplikasi Trigona (Tetragonula) laeviceps sebagai agen penyerbuk pada sistem tumpang sari buncis dan tomat di dalam rumah kaca. Jurnal Sumberdaya Hayati. 2018; 2:63-70. DOI
- Li Y.H., Wang X.Y., Hua W., Zhang H.. Studies on dissipations and residues of indoxacarb under different field and environmental conditions. Journal of Analytical Methods in Chemistry. 2020; 1:1-8. DOI
- Mesnage R., Antoniou M.N.. Ignoring adjuvant toxicity falsifies the safety profile of commercial pesticides. Frontiers in Public Health. 2018; 5:1-8. DOI
- Mortensen A.N., Ellis J.D.. The effects of artificial rearing environment on the behavior of adult honey bees, Apis mellifera L. Behavioral Ecology and Sociobiology. 2018; 72:1-10. DOI
- Mubin N., Audia B.H., Nurulalia L., Dadang. Attractiveness and toxicity of imidacloprid and deltamethrin insecticides against Tetragonula laeviceps Smith (Hymenoptera: Apidae: Meliponini. Journal of the International Society for Southeast Asian Agricultural Sciences. 2023; 29:25-35.
- Mubin N., Elviana N., Permatasari O.S.I., Haharap I.S.. Effect of imidacloprid, profenofos, and abamectin on the flight activity of stingless bee, Tetragonula laeviceps Smith (Hymenoptera: Apidae: Meliponini. IOP Conference Series: Earth and Environmental Science. 2024; 1359(012069)DOI
- Mubin N., Kusmita A.O., Rohmah A., Nurmansyah A.. Economic values of pollination service of open pollination with the help of Tetragonula laeviceps (Hymenoptera: Apidae: Meliponini) on tomato and chili. Biodiversitas. 2022; 5:2544-2552. DOI
- Mubin N., Nurvaidah R., Kusdiandini N.R., Audia B.H., Dadang. Effect of abamectin and profenofos insecticide on stingless bee, Tetragonula laeviceps Smith (Hymenoptera: Apidae: Meliponini. IOP Conference Series: Earth and Environmental Science. 2023; 1346(012027)DOI
- Mundy-Heisz K.A., Prosser R.S., Raine N.E.. Acute oral toxicity and risks of four classes of systemic insecticide to the common eastern bumblebee (Bombus impatiens. Journal Chemosphere. 2022; 295:1-13. DOI
- Nauen R., Jeschke P., Velten R., Beck M.E., Ebbinghaus-Kintscher U., Thielert W., Wölfel K., Haas M., Kunz K., Raupach G.. Flupyradifurone: a brief profile of a new butenolide insecticide. Pest Management Science. 2014; 71:850-862. DOI
- Ndakidemi B., Mtei K., Ndakidemi P.A.. Impacts of synthetic and botanical pesticides on beneficial insects. Agricultural Sciences. 2016; 7:364-372. DOI
- Neuman P., Carreck J.C.. Honeybee colony losses. Journal of Apicultural Research. 2010; 49:1-6. DOI
- Raderschall C.A., Bommarco R., Lindström S.A.M., Lundin O.. Landscape crop diversity and semi-natural habitat affect crop pollinators, pollination benefit and yield. Agriculture, Ecosystems and Environment. 2021; 306DOI
- Ssymank A., Kearns C.A., Pape T., Thompson F.C.. Pollinating flies (Diptera): A major contribution to plant diversity and agricultural production. Tropical Conservancy. 2008; 9:86-89. DOI
- IGAPI Udayani, NL Watiniasih, IK Ginantra. Koloni lebah madu (Apis cerana F.) sebagai agen penyerbuk pada tumbuhan terung ungu (Solanum melongena L.) pada sistem pertanian lokal Bali. Metamorfosa: Journal of Biological Sciences. 2020; 7:159-162. DOI
- Widhiono I., Sudiana E.. Keragaman serangga penyerbuk dan hubunganya dengan warna bunga pada tanaman pertanian di Lereng Utara Gunung Slamet, Jawa Tengah. Biospecies. 2015; 2:43-50. DOI
- Zidni I., Mubin N., Nurmansyah A.. Quantity and quality of cucumber resulted from various methods of pollination. Jurnal Ilmu-ilmu Pertanian Indonesia. 2021; 23:78-8. DOI
- Zidni I.. Institut Pertanian Bogor: Bogor; 2020.
Abbassy MA, Nasr HM, Abo-yousef HM, Dawood RR. 2020. Acute toxicity of selected insecticides and their safety to honey bee (Apis mellifera L.) workers under laboratory conditions. Austin Environmental Sciences. 5:1–6.
Audia BH. 2022. Ketertarikan dan Mortalitas Tetragonula laeviceps Smith (Apidae: Meliponini) terhadap Insektisida Imidakloprid dan Deltametrin. Skripsi. Bogor: Institut Pertanian Bogor.
Badawy MEI, Nasr HM, Rabea EI. 2015. Toxicity and biochemical changes in the honey bee Apis mellifera exposed to four insecticides under laboratory conditions. Journal Apidologie. 46:177–193. DOI: https://doi.org/10.1007/s13592-014-0315-0.
Bugin G, Lenzi L, Ranzani G, Barisan L, Porrini C, Zanella A, Bolzonella C. 2022. Agriculture and pollinating insects, no longer a choice but a need: EU agriculture’s dependence on pollinators in the 2007–2019 period. Sustainability. 14:3644. DOI: https://doi.org/10.3390/su14063644.
Campbell JW, Cabrera AR, Stanley-Stahr C, Ellis JD. 2016. An evaluation of the honey bee (Hymenoptera: Apidae) safety profile of a new systemic insecticide, flupyradifurone, under field conditions in Florida. Journal of Economic Entomology. 109:1967–1972. DOI: https://doi.org/10.1093/jee/tow186.
Ciarlo TJ, Mullin CA, Frazier JL, Schmehi DR. 2012. Learning impairment in honey bee caused by agricultural spray adjuvants. PloS One. 7:1–12. DOI: https://doi.org/10.1371/journal.pone.0040848.
Cloyd RA. 2019. Effects of pesticides and adjuvant on the honey bee, Apis mellifera: an updated bibliographic review. In: Ranz RER (Eds.), Modern Beekeeping. pp. 1–12. London: Intech Open.
Costa E, Araujo E, Maia A, Silva F, Bezerra C, Silva J. 2014. Toxicity of insecticides used in the brazilian melon crop to the honey bee Apis mellifera under laboratory conditions. Journal Apidologie. 45:34–44. DOI: https://doi.org/10.1007/s13592-013-0226-5.
Del Sarto MCL, Oliveira EE, Guedes RNC, Campos LAO. 2014. Differential insecticide susceptibility of the Neotropical stingless bee Melipona quadrifasciata and the honey bee Apis mellifera. Journal Apidologie. 45:626–636. DOI: https://doi.org/10.1007/s13592-014-0281-6.
Dewanthi SA. 2023. Pengaruh insektisida dan tiga adjuvan terhadap lebah Tetragonula laeviceps Smith (Apidae: Meliponini). Skripsi. Bogor: Institut Pertanian Bogor.
Djojosumarto P. 2000. Teknik Aplikasi Pestisida Pertanian. Yogyakarta: Kanisius.
Domatskaya TF, Domatskiy AN, Levchenko MA, Silivanova EA. 2018. Acute contact toxicity of insecticidal baits on honeybees Apis mellifera: a laboratory study. Ukrainian Journal of Ecology. 8:887–891. DOI: https://doi.org/10.15421/2018_289.
[EFSA] European Food Safety Authority. 2012. Statement on the findings in recent studies investigating sub-lethal effects in bees of some neonicotinoids in consideration of the uses currently authorised in europe. Journal EFSA: European Food Safety Authority (EFSA). 10:2752. DOI: https://doi.org/10.2903/j.efsa.2012.2752.
[EPA] Environmental Protection Agency. 1993. US EPA - resticides; chlorfenapyr. United States: EPA. Available at: https://archive.epa.gov/pesticides/chemicalsearch/chemical/foia/web/pdf/129093/129093-1993-08-06e.pdf/. [accessed 8 February 2024].
[EPA] Environmental Protection Agency. 2000. Name of Chemical: Indoxacarb. Washington DC: The United States Environmental Protection Agency.
[EPA] Environmental Protection Agency. 2014. Guidance for Assessing Pesticide Risks to Bees. Washington DC: The United States Environmental Protection Agency.
[EPA] Environmental Protection Agency. 2018. Understanding how pesticide exposure affect honey bee colonies. United States: EPA. Available at: https://www.epa.gov/sciencematters/understanding-how-pesticide-exposure-affects-honey-bee-colonies. [accessed 20 January 2024].
Fajarwati MR, Atmowidi T, Dorly. 2009. Keanekaragaman serangga pada bunga tomat (Lycopersicon esculentum Mill.) di lahan pertanian organik. Jurnal Entomologi Indonesia. 2:77–85. DOI: https://doi.org/10.5994/jei.6.2.77.
[FAO] Food and Agriculture Organization. 2009. Pesticides residues: indoxacarb. United States: FAO. Available at: https://www.fao.org/fileadmin/templates/agphome/documents/Pests_Pesticides/JMPR/JMPR_Summary_Report__final___2009_.pdf. [accessed 8 Februari 2024].
Fine JD, Cox-Foster DL, Mullin CA. 2017. An inert pesticide adjuvant synergizes viral phatogenicity and mortality in honey bee larvae. Journal Scientific Reports. 7:1-9. DOI: https://doi.org/10.1038/srep40499.
Fischer D, Moriaty T. 2014. Pesticide Risk Assessment for Pollinators. Florida: Wiley Blackwell. DOI: https://doi.org/10.1002/9781118852408.
Foy CL, Pritchard DW. 1996. Pesticide Formulation and Adjuvant Technology. Boca Raton: CRC Press. DOI: https://doi.org/10.1201/9780203743751.
Gernat T, Rao VD, Middendorf M, Dankowicz H, Goldenfeld N, Robinson GE. 2018. Automated monitoring of behavior reveals bursty interaction patterns and rapid spreading dynamics in honeybee social networks. PNAS. 7:1433–1438. DOI: https://doi.org/10.1073/pnas.1713568115.
Gradish AE, Scott-Dupree CD, Frewin AJ, Cutler GC. 2012. Lethal and sublethal effects of some insecticides recommended for wild blueberry on the pollinator Bombus impatiens. The Canadian Entomologist. 144:478–486. DOI: https://doi.org/10.4039/tce.2012.40.
Haneda NF, Rusniarsyah L, Robbani MR. 2022. Aktivitas terbang dan perkembangan koloni lebah kelulut (Tetragonula laeviceps) di Kampus IPB Darmaga Bogor. Jurnal Hutan Tropika. 17:30–39. DOI: https://doi.org/10.36873/jht.v17i1.4354.
Hasanah IR, Mubin N, Sartiami D, Priawandiputra W, Dadang. 2024. The Toxicity Test of Synthetic Insecticides on Tetragonula laeviceps (Apidae: Meliponini). HAYATI Journal of Biosciences. 31:271–283. DOI: https://doi.org/10.4308/hjb.31.2.271-283.
Herlinda S, Sari JMP. 2022. Penyerbuk yang berperan meningkatkan produksi tanaman semusim dan tahunan secara berkelanjutan. In: Herlinda S et al. (Eds.), Revitalisasi Sumber Pangan Nabati dan Hewani Pascapandemi dalam Mendukung Pertanian Lahan Suboptimal secara Berkelanjutan. Seminar Nasional Lahan Suboptimal ke-10 Tahun 2022 (Palembang, 27 October). pp. 40-60. Palembang: Universitas Sriwijaya.
Hesselbach H, Scheiner R. 2018. Effects of the novel pesticide flupyradifurone (Sivanto) on honeybee taste and cognition. Scientific Reports. 8:1–8. DOI: https://doi.org/10.1038/s41598-018-23200-0.
[IPBES] Intergovernmental Science-Policy Platform on Biodiversity and Ecosystem Services. 2016. Summary for Policymakers of The Assessment Report of the Intergovernmental Science-Policy Platform on Biodiversity and Ecosystem Services on Pollinators, Pollination and Food production. Potts SG, Imperatriz-Fonseca VL, Ngo HT, Biesmeijer JC, Breeze TD, Dicks LV, Garibaldi LA, Hill R, Settele J, Vanbergen AJ, Aizen MA, Cunningham SA, Eardley C, Freitas BM, Gallai N, Kevan PG, Kovács-Hostyánszki A, Kwapong PK, Li J, Li X, Martins DJ, Nates-Parra G, Pettis JS, Rader, Viana BF (Eds.). Bonn, Germany: Secretariat of the IPBES.
[IRAC] Insecticide Resistance Action Committee. 2023. IRAC Mode of Action Classification Scheme. Available at: https://irac-online.org/mode-of-action/classification-online/. [accessed 5 Feb 2024].
Kahono S, Erniwati. 2014. Keragaman dan kelimpahan lebah sosial (Apidae) pada bunga tanaman pertanian musiman yang diaplikasikan pestisida di Jawa Barat. Berita Biologi. 13:231–238.
Karbassioon A, Stanley DA. 2023. Exploring relationships between time of day and pollinator activity in the context of pesticide use. Basic and Applied Ecology. 72:74–81. DOI: https://doi.org/10.1016/j.baae.2023.06.001.
Kato Y, Kikuta S, Barribeau SM, Inoue MN. 2022. In vitro larval rearing method of eusocial bumblebee Bombus terrestris for toxicity test. Scientific Reports. 12:1–10. DOI: https://doi.org/10.1038/s41598-022-19965-0.
Klein AM, Vaissière BE, Cane JH, Steffan-Dewenter I, Cunningham SA, Kremen C, Tscharntke T. 2007. Importance of pollinators in changing landscapes for world crops. Proceedings of the Royal Society B: Biological Sciences. 274:303–313. DOI: https://doi.org/10.1098/rspb.2006.3721.
Leksikowati SS, Putra RE, Rosmiati M, Kinasih I, Husna IZ, Novitasari, Setiyarni E, Rustam FA. 2018. Aplikasi Trigona (Tetragonula) laeviceps sebagai agen penyerbuk pada sistem tumpang sari buncis dan tomat di dalam rumah kaca. Jurnal Sumberdaya Hayati. 2:63–70. DOI: https://doi.org/10.29244/jsdh.4.2.63-70.
Li YH, Wang XY, Hua W, Zhang H. 2020. Studies on dissipations and residues of indoxacarb under different field and environmental conditions. Journal of Analytical Methods in Chemistry. 1:1–8. DOI: https://doi.org/10.1155/2020/8874759.
Mesnage R, Antoniou MN. 2018. Ignoring adjuvant toxicity falsifies the safety profile of commercial pesticides. Frontiers in Public Health. 5:1–8. DOI: https://doi.org/10.3389/fpubh.2017.00361.
Mortensen AN, and Ellis JD. 2018. The effects of artificial rearing environment on the behavior of adult honey bees, Apis mellifera L. Behavioral Ecology and Sociobiology. 72: 1–10. DOI: https://doi.org/10.1007/s00265-018-2507-5.
Mubin N, Audia BH, Nurulalia L, Dadang. 2023a. Attractiveness and toxicity of imidacloprid and deltamethrin insecticides against Tetragonula laeviceps Smith (Hymenoptera: Apidae: Meliponini). Journal of the International Society for Southeast Asian Agricultural Sciences. 29:25–35.
Mubin N, Elviana N, Permatasari OSI, Haharap IS. 2024. Effect of imidacloprid, profenofos, and abamectin on the flight activity of stingless bee, Tetragonula laeviceps Smith (Hymenoptera: Apidae: Meliponini). IOP Conference Series: Earth and Environmental Science. 1359:012069. DOI: https://doi.org/10.1088/1755-1315/1359/1/012069.
Mubin N, Kusmita AO, Rohmah A, Nurmansyah A. 2022. Economic values of pollination service of open pollination with the help of Tetragonula laeviceps (Hymenoptera: Apidae: Meliponini) on tomato and chili. Biodiversitas. 5:2544–2552. DOI: https://doi.org/10.13057/biodiv/d230535.
Mubin N, Nurvaidah R, Kusdiandini NR, Audia BH, Dadang. 2023b. Effect of abamectin and profenofos insecticide on stingless bee, Tetragonula laeviceps Smith (Hymenoptera: Apidae: Meliponini). IOP Conference Series: Earth and Environmental Science. 1346:012027. DOI: https://doi.org/10.1088/1755-1315/1346/1/012027.
Mundy-Heisz KA, Prosser RS, Raine NE. 2022. Acute oral toxicity and risks of four classes of systemic insecticide to the common eastern bumblebee (Bombus impatiens). Journal Chemosphere. 295:1–13. DOI: https://doi.org/10.1016/j.chemosphere.2022.133771.
Nauen R, Jeschke P, Velten R, Beck ME, Ebbinghaus-Kintscher U, Thielert W, Wölfel K, Haas M, Kunz K, Raupach G. 2014. Flupyradifurone: a brief profile of a new butenolide insecticide. Pest Management Science. 71:850–862. DOI: https://doi.org/10.1002/ps.3932.
Ndakidemi B, Mtei K, Ndakidemi PA. 2016. Impacts of synthetic and botanical pesticides on beneficial insects. Agricultural Sciences. 7:364–372. DOI: https://doi.org/10.4236/as.2016.76038.
Neuman P, Carreck JC. 2010. Honeybee colony losses. Journal of Apicultural Research. 49:1-6. DOI: https://doi.org/10.3896/IBRA.1.49.1.01.
Raderschall CA, Bommarco R, Lindström SAM, Lundin O. 2021. Landscape crop diversity and semi-natural habitat affect crop pollinators, pollination benefit and yield. Agriculture, Ecosystems and Environment. 306. DOI: https://doi.org/10.1016/j.agee.2020.107189.
Ssymank A, Kearns CA, Pape T, Thompson FC. 2008. Pollinating flies (Diptera): A major contribution to plant diversity and agricultural production. Tropical Conservancy. 9:86–89. DOI: https://doi.org/10.1080/14888386.2008.9712892.
Udayani IGAPI, Watiniasih NL, Ginantra IK. 2020. Koloni lebah madu (Apis cerana F.) sebagai agen penyerbuk pada tumbuhan terung ungu (Solanum melongena L.) pada sistem pertanian lokal Bali. Metamorfosa: Journal of Biological Sciences. 7:159–162. DOI: https://doi.org/10.24843/metamorfosa.2020.v07.i02.p03.
Widhiono I, Sudiana E. 2015. Keragaman serangga penyerbuk dan hubunganya dengan warna bunga pada tanaman pertanian di Lereng Utara Gunung Slamet, Jawa Tengah. Biospecies. 2:43–50. DOI: https://doi.org/10.22437/biospecies.v8i2.2502.
Zidni I, Mubin N, Nurmansyah A. 2021. Quantity and quality of cucumber resulted from various methods of pollination. Jurnal Ilmu-ilmu Pertanian Indonesia. 23:78–8. DOI: https://doi.org/10.31186/jipi.23.2.78-83.
Zidni I. 2020. Estimasi Nilai Ekonomi Penyerbukan Tanaman Mentimun (Cucumis sativus L.) oleh Tetragonula laeviceps (Apidae: Meliponinae) dan Serangga Penyerbuk Lainnya Skripsi. Institut Pertanian Bogor: Bogor.
Copyright (c) 2025 Nadzirum Mubin, Syifa Aiko Dewanthi, Bela Hasna Audia

This work is licensed under a Creative Commons Attribution 4.0 International License.
Authors who publish with this journal agree to the following terms:
- Authors retain copyright and grant the journal right of first publication with the work simultaneously licensed under a Creative Commons Attribution 4.0 International License that allows others to share the work with an acknowledgement of the work's authorship and initial publication in this journal.
- Authors are able to enter into separate, additional contractual arrangements for the non-exclusive distribution of the journal's published version of the work (e.g., post it to an institutional repository or publish it in a book), with an acknowledgement of its initial publication in this journal.
- Authors are permitted and encouraged to post their work online (e.g., in institutional repositories or on their website) prior to and during the submission process, as it can lead to productive exchanges, as well as earlier and greater citation of published work (See The Effect of Open Access).









